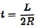
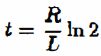
3. A circuit composed of a battery of voltage V, a resistor of resistance R, an inductor of inductance L, and a switch S is shown in the figure. Initially the switch is at position 1 that a constant current I is maintained in the circuit. Then it is switched to position 2 at time t = 0. Please find the time while the current drops to I/2.

(A)
(B)
(C)
(D)
(E)
答案:登入後查看
統計: 尚無統計資料
統計: 尚無統計資料