所屬科目:研究所、轉學考(插大)◆普通物理學
1. A copper rod of length L = 10 cm and cross-sectional area A = 2 mm² has a resistance of 8.5 × 10⁻⁴ Ω across its ends. Find the resistivity ρ of copper. (A) 4.25 × 10⁻³ Ω/m (B) 4.25 × 10⁻¹ Ω/m (C) 42.5 Ω/m (D) 1.7 × 10⁻⁴ Ω-m (E) 1.7 × 10⁻⁸ Ω-m
2. A spherical shell of radius R has charge Q uniformly distributed over its surface. Find the energy stored in this charge distribution. (A) (B)(C)(D) (E)
3. A circuit composed of a battery of voltage V, a resistor of resistance R, an inductor of inductance L, and a switch S is shown in the figure. Initially the switch is at position 1 that a constant current I is maintained in the circuit. Then it is switched to position 2 at time t = 0. Please find the time while the current drops to I/2.
(A) (B) (C) (D) (E)
4. Which one of the following statements of the first law of thermodynamics is correct? (A) In a reversible process the entropy of an isolated system increases; in an irreversible process the entropy stays constant. (B) It is impossible for a heat engine that operates in a cycle to convert its heat input completely into work (C) As the temperature of a system approaches absolute zero, all processes stop and the entropy of the system approaches a minimum value. (D) It is impossible for a cyclical device to transfer heat continuously from a cold body to a hot body without the input of work or other effect on the environment. (E) The change in the internal energy of a system is equal to the sum of the energy transferred across the system boundary by heat and the energy transferred by work.
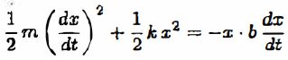
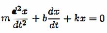
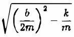
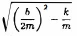
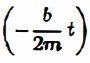
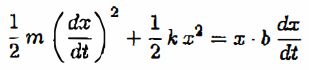
5. Consider a damped oscillator that an object of mass m attached to a spring and submerged in a viscous liquid, as shown in the figure. The displacement of the object is x, and the spring constant is k. The resistive force resulted from the liquid is -bv, where b is a constant and v is the velocity of the object. What is the equation of motion of the object?
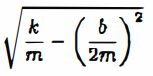
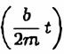
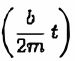
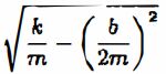
6. Continued from question 5, what is the solution of the equation of motion? (A) x = A cos(ωt), where ω = (B) x = A exp cos(ωt), where ω = (C) x = A exp cos(ωt), where ω = (D) x = A exp cos(ωt), where ω = (E) x = A exp cos(ωt), where ω =
7. Consider an artificial satellite moves in an orbit which is 100-km high from the earth surface. Assume the earth radius is 6400 km and the gravitational acceleration on earth surface is 9.8 m/sec². What is the period of the satellite? (A) ~8000 sec (B) ~6400 sec (C) ~5800 sec (D) ~5200 sec (E) ~4600 sec
8. According to the Bohr model of hydrogen atom, the wave function of the electron forms a standing wave inside the atom. This result is derived from what postulate? (A) quantization of velocity of the electron (B) quantization of momentum of the electron (C) quantization of angular momentum of the electron (D) quantization of energy of the electron (E) conservation of total momentum of the atom
9. Continued from question 8, the energy of the nth stationary state is Eₙ = -(13.6 eV)/n². When the electron goes from n = 2 state to n = 1 state, what is the wavelength of the emitted photon? (elementary charge e = 1.6 × 10⁻¹⁹ coul, Planck's constant h = 6.626 × 10⁻³⁴ J-sec) (A) 122 nm (B) 136 nm (C) 147 nm (D) 159 nm (E) 170 nm
10. Consider the concept of classical ideal gas. Which one of the following statements is wrong? (A) The number of molecules in the gas is large, but the occupied volume of all molecules is negligible. (B) Except for the short-range forces during elastic collisions, there is no interaction between molecules. (C) All molecules are assumed identical. (D) The molecules make elastic collisions with the walls of the container. (E) The temperature of the gas is directly proportional to the average velocity of molecules.
11. A rectangular coil of wire has a length of 10 cm and a width of 5 cm. The coil contains 10 loops. The current in each loop is 2 amp, and the coil is placed in a 2.0-T magnetic field. What is the maximum torque exerted on the coil by the field? (A) 0.2 (m·Nt) (B) 0.4 (m·Nt) (C) 0.5 (m·Nt) (D) 1.0 (m·Nt) (E) 2.0 (m·Nt)
12. A 10-kHz sound wave is emitted by a stationary source toward an object moving 17 m/sec toward the source. What is the frequency of the wave reflected by the moving object as detected by a detector at rest near the source? (Assume the sound speed is 340 m/sec.) (A) 1.05 × 10⁴ Hz (B) 1.1 × 10⁴ Hz (C) 1.15 × 10⁴ Hz (D) 1.2 × 10⁴ Hz (E) 1.25 × 10⁴ Hz
13. Consider a circular disk of mass M and radius R, as shown in the figure. What is the moment of inertia of the disk about an axis through the center and perpendicular to the flat surface?
14. Consider a cyclic process of a thermodynamic system. The Pressure-Volume diagram of this process is shown in the figure. What area in the P-V diagram represents the work done by the system in each cycle?
(A) a (B) b (C) c (D) d (E) b + d
15. Consider the entropy of an ideal gas system. Which one of the following processes results in the decrease of the entropy of the system? (A) Quasi-static adiabatic expansion from volume V to volume 2V. (B) Quasi-static adiabatic compression from volume V to volume (1/2)V. (C) Adiabatic free expansion from volume V to volume 2V. (D) Quasi-static isothermal expansion from volume V to volume 2V. (E) Quasi-static isothermal compression from volume V to volume (1/2)V.
16. Which ones of the following units are the units of magnetic field? (A) henry (B) (C) (D) tesla (E) farad
17. Which ones of the following concepts must be applied to explain the features of the Compton scattering effect? (A) quantization of the energy of light (B) quantization of the momentum of light (C) quantization of the angular momentum of light (D) quantization of the bound electron energy levels in atom (E) conservation of total momentum
18. Consider the propagation of light, which ones of the following phenomena can be deduced from Maxwell's theory of electromagnetism? (A) double slit interference (B) birefringence resulted from anisotropic media (C) refraction law (Snell's law) (D) reflection law (The angle of incidence is equal to the angle of reflection.) (E) zero reflection at Brewster's angle
19. Which ones of the following statements are the postulates of special relativity? (A) E = mc², where E is energy, m is mass, and c is speed of light in vacuum. (B) All physical laws have the same form in all inertial reference frames. (C) The space-time transformation obeys the Lorentz transformation. (D) The speed of light in vacuum is the same in all inertial reference frames. (E) No object can moves with a speed higher than the speed of light in vacuum.
20. Which ones of the following items are not electromagnetic waves? (A) alpha ray (B) beta ray (C) gamma ray (D) cathode ray (E) x-ray