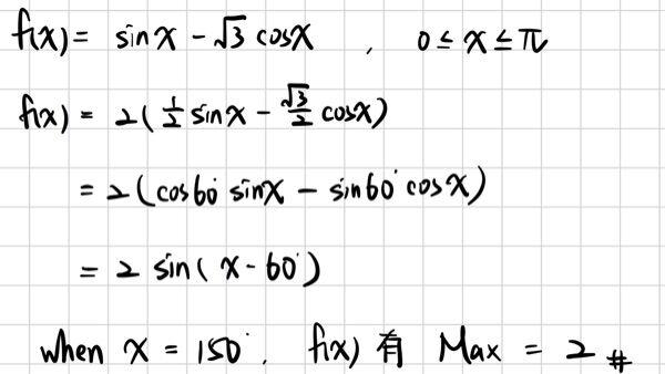
31. 求函數
cos x在0 ≤ x ≤ π 的最大值
(A)0
(B)
(C)
(D)2
答案:登入後查看
統計: A(0), B(3), C(7), D(8), E(0) #2936269
統計: A(0), B(3), C(7), D(8), E(0) #2936269
詳解 (共 1 筆)
#6469299

0
0