31. Which of the following equations represents the Michaelis-Menten equation?
(A) 
(B)
(C)
(D)
(E) ν = E-[ES]
答案:登入後查看
統計: A(0), B(0), C(0), D(1), E(0) #3411415
統計: A(0), B(0), C(0), D(1), E(0) #3411415
詳解 (共 3 筆)
#7283484

0
0
#7289405
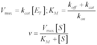
Michaelis–Menten 方程式是 V=Vmax×[S]/Km+[S]
又Vmax=Kcat×[E], 用這個代入上式,可以得到D選項。
正確答案應為(D)
0
0