阿摩線上測驗
登入
首頁
>
【阿摩】未分類題庫
>
111年 - 111 全國高級中等學校學生技藝競賽考試_工業類:電腦修護#138255
> 試題詳解
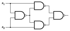
33. 下圖可以達成何種邏輯閘功能?
(A)AND
(B)OR
(C)XOR
(D)NOR。
答案:
登入後查看
統計:
尚無統計資料
相關試題
1. 利用 C 程式語言開發程式的敘述,下列何者錯誤? (A)程式需要經過編譯及連結產生 可執行檔,才能夠執行 (B)單行註解可用 2 個斜線 ( // ) (C)main( ) 是一個函式,程 式執行時從 main( ) 函式開始執行 (D)使用 #include 前置處理命令時,命令結尾需 要加上句號。
#3849077
2. 關於 C 程式語言中,結構 ( structures ) 資料型態的敘述,下列何者錯誤? (A)結構是 一種自行定義的資料型態 (B)定義結構只能使用相同資料型態的變數 (C)宣告結構 資料型態的變數時,只能使用已定義的結構名稱宣告 (D)定義結構只能使用 struct 關鍵字。
#3849078
3. 關於 C 程式語言的資料型態,下列敘述何者正確? (A)float 資料型態可以儲存浮點 數資料 (B)宣告 int 資料型態可以儲存整數和浮點數資料 (C)double 資料型態可 以儲存浮點數值,數值精確度跟 float 資料型態相同 (D)宣告 char 資料型態可以儲 存字元符號和浮點數資料。
#3849079
4. 下列何者程式適合用於整合開發環境來撰寫 C 程式? (A)小畫家 (B)Dev-C++ (C)Word (D)Photoshop。
#3849080
5. 在 C 程式語言輸入 scanf() 函式的程式碼時,忘了輸入最後的「;」分號,請問會產生 下列哪一種錯誤? (A)邏輯錯誤 (B)數學運算錯誤 (C)語法錯誤 (D)執行期錯誤。
#3849081
6. 請問 C 語言模組 (modules) 標頭檔的副檔名是下列哪一個? (A).c (B).dev (C).h (D).proj。
#3849082
7. 在 C 程式語言如果輸出的文字內容需要換行,我們需要再加上哪一個字元? (A)「\f」 (B)「\t」 (C)「\b」 (D)「\n」。
#3849083
8. 請問下列哪一種工具程式的功能是電腦程式語言的翻譯者? (A)編譯器 (B)載入器 (C)瀏覽器 (D)文書處理器。
#3849084
9. 請問下列哪一個是 C 語言陣列索引預設的起始值? (A)0 (B)-1 (C)1 (D)2。
#3849085
10. C 語言是使用下列哪一個運算子來取得變數的記憶體位址? (A)「*」 (B)「&」 (C) 「&&」 (D)「**」。
#3849086
相關試卷
115年 - 115 中央警察大學_警正班第 3 5 期招生考試試題:刑法與刑事訴訟法#137830
2026 年 · #137830
114年 - 114 臺灣綜合大學系統_學士班轉學生考試試題︰動物科學概論#138154
2025 年 · #138154
114年 - 114 全國高級中等學校學生技藝競賽考試_工業類:電腦軟體設計#138006
2025 年 · #138006
114年 - 114 全國高級中等學校學生技藝競賽考試_工業類:數位電子#137984
2025 年 · #137984
114年 - 114 新竹縣國民中學技藝教育競賽題庫:勞權教育#137975
2025 年 · #137975
114年 - 114 全國高級中等學校學生技藝競賽考試_工業類:電腦輔助機械製圖#137974
2025 年 · #137974
114年 - 114 全國高級中等學校學生技藝競賽考試_工業類:冷凍空調#137972
2025 年 · #137972
114年 - 114 全國高級中等學校學生技藝競賽考試_工業類:應用設計#137971
2025 年 · #137971
114年 - 114 全國高級中等學校學生技藝競賽考試_工業類:電腦修護#137970
2025 年 · #137970
114年 - 114 全國高級中等學校工業類科學生技藝競賽試題:汽車修護#137959
2025 年 · #137959