35.
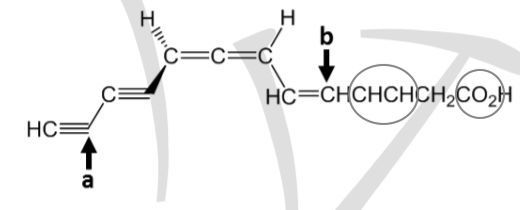
黴菌素(mycomycin, C13H10O2)是一長鏈不飽和脂肪酸,下列敘述正確?
(A) 具有 22 個σ鍵與 8 個π鍵
(B) a 碳為 sp2 鍵結
(C) a 碳氧化數為零
(D) b 碳為 sp3 鍵結
答案:登入後查看
統計: A(85), B(28), C(521), D(16), E(0) #2049272
統計: A(85), B(28), C(521), D(16), E(0) #2049272
詳解 (共 3 筆)
#3572012

(A)圖中圈選處各有1π鍵,一共9個π鍵,要特別注意沒畫出來的部分
(B)a為sp混成軌域,其餘2個p軌域形成π鍵
(D)b為sp2混成軌域
19
1
#4106758
108年 - 108年 - 108 私醫聯招-普通化學#78417 #78417 --35題 A 選項有亂碼
3
2
#5824789
這一題,用反向刪去法
只能選C
因為其他ABD明顯錯誤。
如果不是C,那就會送分了。
0
1