阿摩線上測驗
登入
首頁
>
教甄◆數學
>
100年 - 桃園國小教甄-數學#72607
> 試題詳解
試題詳解
試卷:
100年 - 桃園國小教甄-數學#72607 |
科目:
教甄◆數學
試卷資訊
試卷名稱:
100年 - 桃園國小教甄-數學#72607
年份:
100年
科目:
教甄◆數學
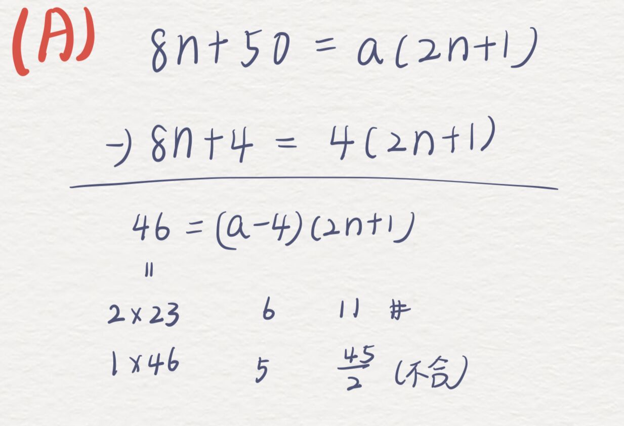
36、試問有多少個正整數 n 使得8n+50 是 2n+1 的倍數?
(A)1
(B)2
(C)5
(D)10
正確答案:
登入後查看