所屬科目:教甄◆數學
6、箱子中有 9 個球:3 個白球、3 個紅球與 3 個黑球。從此箱中取出三個球。試問:所取出的三個球之顏色皆相異之機率為 何?(A) (B) (C) (D)
7、 除之後所得的餘數為何? (A)-1 (B)1 (C)-3 (D)3
8、設 ab >0 且 a - b>0,則下列何者正確? (A) a >0 (B) b <0 (C) a + b >0 (D) >0
9、從數字 1 至 90 隨機取出兩個數,其和為 56 之機率為何? (A) (B) (C) (D)
10、把自然數按以下的規律排列,其中13在8的右方。問:在95右方的數是多少? (A)96 (B)105 (C)109 (D)110
12、甲和乙共有 m 張卡片,且 40< m <80。甲說:「 m - 3 是 8 的倍數」,乙則說:「 m -1 是 5 的倍數」。試問:下列何者為 真? (A) (B) (C) (D)
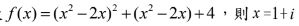
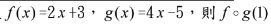
18、若函數 f 滿足於f=5x ,則 f (3) 之值為何? (A)5 (B)4 (C)3 (D)2
21、若函數 f 滿足之值為何? (A) -3 (B) -2 (C) -1 (D)0
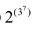
22、試問 乘開後的各位數字總和為多少? (A)846 (B)855 (C)945 (D)以上皆非
23、求值 =? (A)- (B) (C) i (D)- i
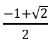
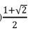
24、令 x= , 試問 x 的值。 (A)-1+ √2 (B)-1+√ 3 (C) (D)
25、用 1、2、3 三個數填入格子裡,數字不能重複,使組合成的二位數是偶數,有幾種答案? (A)6 種 (B)4 種 (C)2 種 (D)1 種
26、設 ,則 a 的解有幾個? (A)0 (B)1 (C)2 (D)3
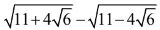
27、請問? (A) 2√ 3 (B) 4√ 2 (C) 2 √6 (D)
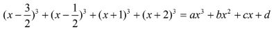
30、多項式對任意實數 x 恆成立。試問 a+b+c+d之值為何? (A) (B)9 (C) (D)35
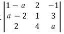
32、若 α、β、γ 為方程式=? (A)-2 (B)2 (C)10 (D)30
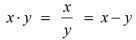
33、已知非零實數 , 則 x+ y 的值為何? (A)− (B)− (C) (D)
34、時間在九點半時,分針和時針所成的角是幾度? (A)90 ° (B) 97°(C)105° (D) 以上皆非
35、sin 30°+ 45° =? (A) (B) (C) (D)
37、請從 0、2、3、4、5、6、9 這七個數字中,選出兩個數填入下面的空格裡,使得組成的五位數用四捨五入法取概數到千 位,得到的答案是 15000。所有可能的五位數共有幾個? (A)1 個 (B)5 個 (C)7 個 (D)以上皆非
38、設=? (A)-5 (B)-1 (C)1 (D)15
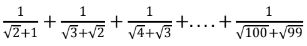
39、試問之值為何? (A)169150 (B)174250 (C)255000 (D)275000
40、投擲一公正銅板連續出現10次正面後,試問第11次是正面的機率? (A)0 (B)1 (C) (D)
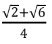
42、試問之值為何? (A)5050 (B)5151 (C)10201 (D)15251
43、下列哪一個數比較大? (A) (B) (C) (D)
44、設 的值為? (A)-2 (B)0 (C)4 (D)6
46、設,則極大值和極小值的和為 (A)-7 (B)8 (C)9 (D)12
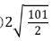
47、之值為何? (A)9 (B) √101-1 (C) (D)10
48、設則 d = (A)2 (B)4 (C)11 (D)14
50、在平面上,點 A(1,-2)到圓=1上一點的最短距離是多少? (A)0 (B)2 (C)4 (D) √17 − 1