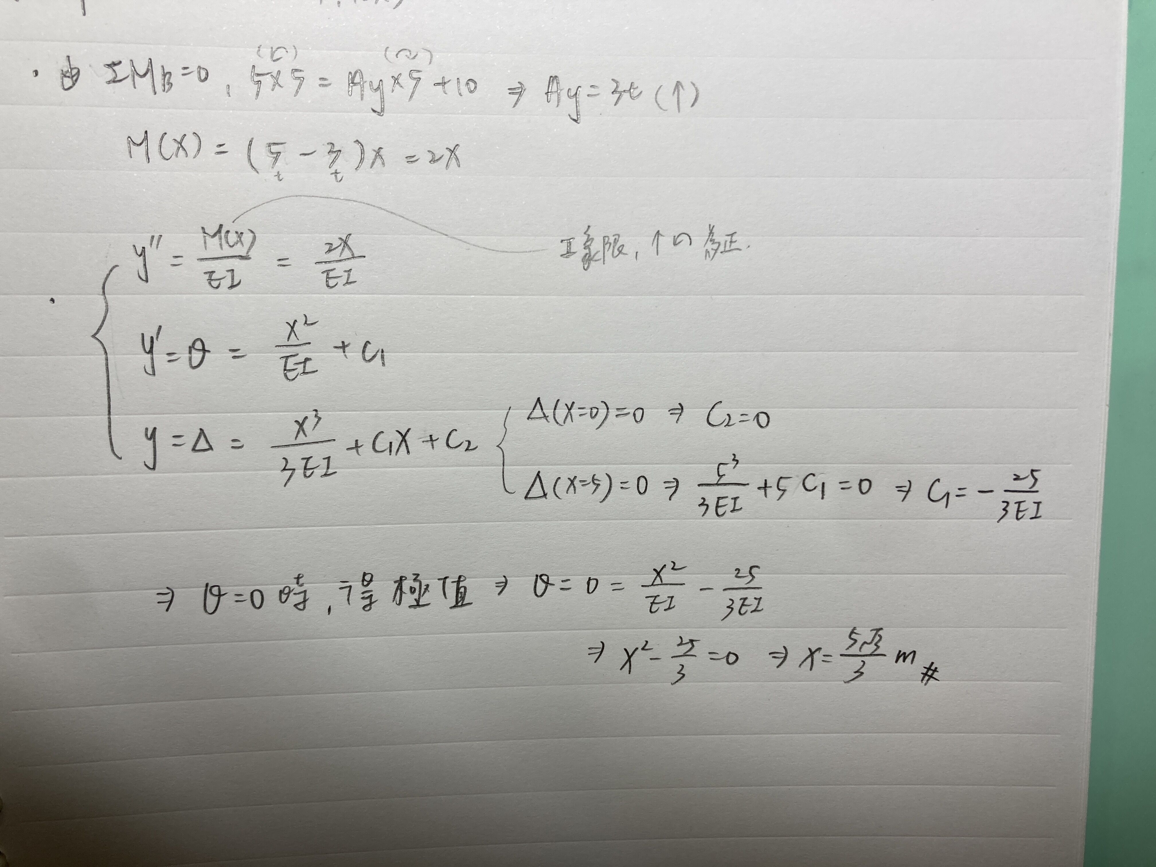
37. 如右圖所示簡支梁,長度L=5 m,假設EI為常數,試求該梁產
生最大變位的位置距A點多遠?
(A)
(B)
m
(C)
m
(D)
m
答案:登入後查看
統計: A(7), B(18), C(74), D(6), E(0) #2127027
統計: A(7), B(18), C(74), D(6), E(0) #2127027
詳解 (共 3 筆)
#5093593
參考..
ps.要知道變形曲線跟撓角

1
0
#5933049
1
0
#3891564
求力矩面積解~ 謝謝
0
0