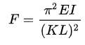
39. Euler柱長L,抗撓剛度為EI,該柱一端為固定端,另一端為自由端,受一軸壓力作用,則最小 挫屈軸壓力為何?
(A)
(B)
(C)
(D)
答案:登入後查看
統計: A(4), B(4), C(10), D(122), E(0) #1539875
統計: A(4), B(4), C(10), D(122), E(0) #1539875
詳解 (共 1 筆)
#4360613

若二端都用插銷連接(可以旋轉),
= 1.0.
若二端都固定,無法旋轉,
= 0.50.
若一端固定,一端只用插銷連接,
≈ 0.699.
若一端固定,另一端可以自由移動,
= 2.0.
2
0