阿摩線上測驗
登入
首頁
>
國營事業◆1.應用力學 2.材料力學
>
107年 - 107 經濟部所屬事業機構_新進職員甄試_土木、機械:1.應用力學 2.材料力學#76260
> 試題詳解
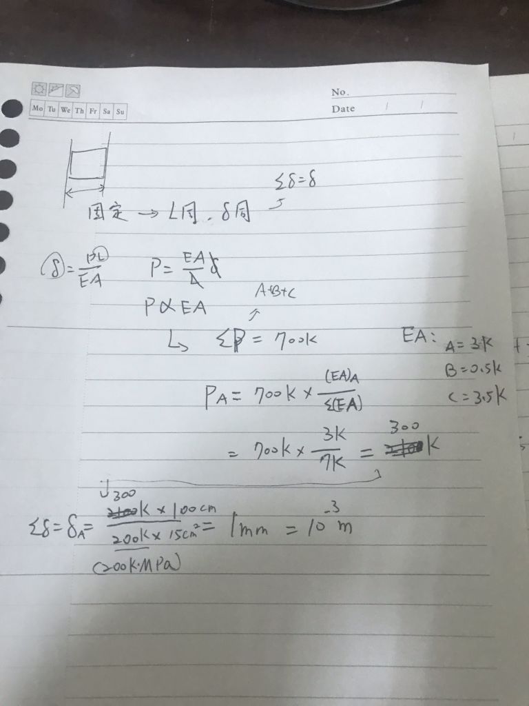
4. 如右圖所示,於組合桿件之自由端施一水平力 700 kN,截面積
求總變形量為何?
(A) 0.001 m
(B) 0.004 m
(C) 0.018 m
(D) 0.038 m
答案:
登入後查看
統計:
A(133), B(13), C(31), D(9), E(0) #1999905
詳解 (共 2 筆)
Kz Dare
B1 · 2019/08/22
#3552159
7
0
小米
B2 · 2021/09/23
#5107643
(共 1 字,隱藏中)
前往觀看
7
0
相關試題
1. 如右圖所示,一鋼板緊密置於柔性材料上,今施一剪力 3 V 於鋼板上,其水平位移 δ 為何? (G 為柔性材料之剪力彈性模數)(A)(B)(C)(D)
#1999902
2. 長方體桿件如右圖所示,尺寸a = 2000 mm,b = 60 mm,c = 120 mm,柏松比ν = 0.33, 若桿件於 y 向受軸力作用後伸長 0.15 mm,求 z 向尺寸變化為何? (A)1.49✖10-3 mm 縮短 (B) 2.97 × 10−3 mm 縮短(C)1.49 × 10−3 mm 伸長 (D) 2.97 × 10−3 mm 伸長
#1999903
3. 右圖桿件中,若截面積 彈性模數 E,求桿件應變能 (Strain energy) 為何?(A)(B)(C)(D)
#1999904
5如右圖所示,於組合桿件之自由端施一水平力 700 kN,截面積求總變形量為何? (A) 0.001 m (B) 0.004 m (C) 0.018 m (D) 0.0038 m
#1999906
6. 右圖中,桿件 ab 為剛體,由兩條材質相同之繩索固定,今於桿件 b 端施一垂直力 2P ,造成 繩索降伏,若繩索之降伏應力為σ Y,求降伏載重 Py 為何?(A)(B)(C)(D)
#1999907
7. 材料內任兩點在同方向上的彈性模數值 E 均相同,係屬下列何種性質? (A)等向性 (B)均質性 (C)線彈性 (D)雙線性
#1999908
8. 右圖中,長 2 L 之桿件,剪力彈性模數 G ,極慣性矩 J,受均佈扭力 q 作用下,求桿件 B 點 之應變能為何? (A) (B)(C)(D)
#1999909
9. 右圖中,懸臂空心圓桿受均佈扭力 求 B 點之扭轉角為何?(A) (B)(C)(D)
#1999910
10. 如右圖所示,桿件 AB 之極慣性矩為 J1,桿件 BC 之極慣性矩為 J2,今施一扭矩 T0 於桿件上 ,求固定端 A 之反力為何?(A)(B)(C)(D)
#1999911
11. 如右圖所示,若薄壁斷面之容許剪應力為 求其能承受之最大扭矩為何? (A) 1382.6 kg ⋅ cm (B) 1497.6 kg ⋅ cm (C) 1573.6 kg ⋅ cm (D) 1662.6 kg ⋅ cm
#1999912
相關試卷
114年 - 114 經濟部所屬事業機構_新進職員甄試試題_土木、機械:1 .應用力學 2 .材料力學#136984
2025 年 · #136984
113年 - 113 經濟部所屬事業機構_新進職員甄試_土木、機械:1.應用力學 2.材料力學#125720
2024 年 · #125720
112年 - 112 經濟部所屬事業機構_新進職員甄試_土木、機械:1.應用力學 2.材料力學#116964
2023 年 · #116964
111年 - 111 經濟部所屬事業機構_新進職員甄試_土木、機械:1.應用力學 2.材料力學#111360
2022 年 · #111360
110年 - 110 經濟部所屬事業機構_新進職員甄試_土木、機械:1.應用力學 2.材料力學#103676
2021 年 · #103676
109年 - 109 經濟部所屬事業機構_新進職員甄試_土木、機械:1.應用力學 2.材料力學#92866
2020 年 · #92866
108年 - 108 經濟部所屬事業機構_新進職員甄試_土木、機械:1.應用力學 2.材料力學#80809
2019 年 · #80809
107年 - 107 經濟部所屬事業機構_新進職員甄試_土木、機械:1.應用力學 2.材料力學#76260
2018 年 · #76260
106年 - 106 經濟部所屬事業機構_新進職員甄試_土木、機械:1.應用力學 2.材料力學(重複)#81162
2017 年 · #81162
106年 - 106 經濟部所屬事業機構_新進職員甄試_土木、機械:1.應用力學#71725
2017 年 · #71725