阿摩線上測驗
登入
首頁
>
教甄◆數學
>
111年 - 111 金門縣國民小學暨公立幼兒園教師聯合甄選試題_國小基礎科目:數學#108879
> 試題詳解
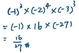
42、計算 (−1)
3
×(−2)
4
÷(−3)
3
之值為何?
(A)
(B)
(C)
(D)
答案:
登入後查看
統計:
A(3), B(83), C(10), D(647), E(0) #2949734
詳解 (共 2 筆)
應屆上岸~謝謝阿摩
B1 · 2022/07/04
#5538880
(共 1 字,隱藏中)
前往觀看
10
1
Chen Chen
B2 · 2022/07/07
#5545256
6
1
相關試題
36、三位實習教師在討論 108 課綱中有關「時間」的課程內容:甲說:一年級「時間」單元教授的「日常時間用語」包括「早上」、「中午」、「下午」和「晚上」。乙說:二年級「鐘面的時刻」,學生除了要認識「幾時幾分」外,還要學會兩整時時刻之間的整時點數。丙說:二年級學生要學習報讀「幾時幾分」前,必須先學習 5 的乘法才能進行。下列哪一個選項正確?(A)只有甲(B)只有乙(C)只有甲乙(D)甲乙丙皆正確
#2949728
37、在一個 4 cm × 4 cm 的平台上放置一些 1 cm3 的正立方體,如圖(一)所示。老師將這個平台清空後,重新放置 一些正立方體,它的前視圖與右視圖分別如下圖(二)與圖(三)所示: 請問老師放置多少個 1 cm3 的正立方體?(A)11(B)16(C)17(D)18
#2949729
38、王老師發現小明都以「將分母直接相乘」的「通分」策略進行「異分母分數加減法」的計算。以下是四道關於 「異分母分數加減法」的布題:請問,哪一道問題最適合提供給小明感受學習「找到兩分母的公倍數」「通分」策略必要性的「認知衝突」題? (A)甲(B)乙(C)丙(D)丁
#2949730
39、《十二年國民基本教育數學領域課程綱要》中有關「比率」和「比例」的教學順序規劃,下列哪一個選項正確? (A)先進行「比率」教學,再進行「比例」教學。 (B)先進行「比例」教學,再進行「比率」教學。 (C)「比率」和「比例」都在五年級時進行教學。 (D)「比率」和「比例」都在六年級時進行教學。
#2949731
40、下列哪一個選項中的「數」與「該數的平方」在數線上的距離最遠? (A) (B) (C)(D)
#2949732
41、李老師教完「6-n-4 能理解分數除法的意義及熟練其計算,並解決生活中的問題」後,請學生觀察下面5 個關於「分數除法」算式,並提出自己的想法:甲生說:分數與分數相除後,商一定大於或等於被除數。乙生說:任意一個分數除以它的等值分數後,商一定等於 1。丙生說:帶分數除以分數後,商一定是帶分數。這三位學生中,哪些學生提出的想法會被同儕反駁?(A)只有甲(B)只有甲乙(C)只有甲丙(D)只有乙丙
#2949733
43、計算 0.20523-0.20252 之值為何? (A)(B)(C)(D)
#2949735
44、計算之值為何? (A) −3 (B) (C) (D)
#2949736
45、將 0.962 化作百分率是多少? (A)0.962%(B)9.62%(C)96.2%(D)962%
#2949737
46、有一圓形公園的周長是 450 公尺,每隔 25 公尺設置一張椅子,一共要設置幾張椅子? (A) 16 張 (B) 17 張 (C) 18 張 (D) 19 張
#2949738
相關試卷
114年 - 114 國立臺灣藝術大學教育學程招生考試_綜合學科:數學#137131
2025 年 · #137131
114年 - 114 高雄市市立國民小學教師聯合甄選-專長類-普通科目試題:數學#131662
2025 年 · #131662
114年 - 114 澎湖縣國民小學暨附設幼兒園教師/代理教師甄選試題:數學#131655
2025 年 · #131655
114年 - 114 文藻外語大學師資培育中心__國民小學教師教育學程新生甄選試題:學科基本知識-數學#130715
2025 年 · #130715
114年 - 114-1 臺北市立復興高級中學_專任教師甄選試題:數學科#129383
2025 年 · #129383
114年 - 114-2 新竹市國民中學教師聯合甄選初試試題:數學科#128201
2025 年 · #128201
114年 - 114 臺南市市立國民中學_正式教師聯合甄選試題:數學專門科目#128066
2025 年 · #128066
114年 - 114 桃園市國民中學新進教師聯合甄選試題:數學科#127820
2025 年 · #127820
114年 - 114-2 國立嘉義高級中學_教師甄選:數學科#127613
2025 年 · #127613
114年 - 114 中區縣市政府教師甄選策略聯盟:國小數學科#127528
2025 年 · #127528