阿摩線上測驗
登入
首頁
>
教甄◆數學
>
114年 - 114-1 國立高科實驗高級中等學校籌備處教師甄選試題_國小普通科:數學#126012
> 試題詳解
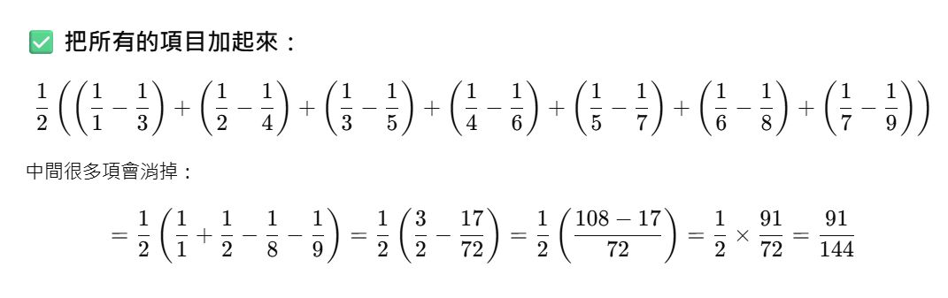
42. 計算
=?
(A)
(B)
(C)
(D)
答案:
登入後查看
統計:
A(4), B(13), C(102), D(19), E(0) #3413065
詳解 (共 3 筆)
呱呱 按個讚鴨
B1 · 2025/03/20
#6340519
(共 1 字,隱藏中)
前往觀看
14
2
rou021225
B2 · 2025/03/24
#6345327
(共 1 字,隱藏中)
前往觀看
11
0
馬芬琴
B3 · 2025/06/12
#6476477
1
0
相關試題
41. 小宜做兩數相除計算誤將「÷」看成「×」,結果得到。若計算沒其他錯誤,已知原來被除數是 ,則正確答案為下列何者? (A)(B)(C)(D)
#3413064
43. 已知小宜每上班4天休假一天,小庭每上班5天休假一天,若今天兩人剛好都休假,則最快多少天之後,兩人可以在同一天休假? (A) 20 (B) 25 (C) 30 (D) 35
#3413066
44. 胖虎預定以每小時12公里的速率騎車到離家8公里遠的地方,不料油箱沒油,只好以每小時4公里的速率繼續走路前進,結果比預定時間慢了20分鐘到達,設胖虎走路的距離為x公里,則x=? (A) 2 (B) 4 (C) 5 (D) 6
#3413067
45. 假設臺塑和中油的95無鉛汽油目前每公升都賣30元,若臺塑先調漲價格20%後再調降20%,而中油則是維持不變,則哪一家的油價較價宜? (A) 中油 (B) 臺塑 (C) 一樣便宜 (D) 無法比較
#3413068
46. 小庭家中有一顆西瓜重5公斤,其中水分重量占94%,放置家中一星期後有脫水失重的情形。若除水分減少外,其餘重量均不變,且此時水分重量占92%,則此時整個西瓜重多少公斤? (A)(B)(C)(D)
#3413069
47. 老爸對兒子說,我在你這個年紀時你才3歲,又說等你到我這個年紀時,我已經78歲了。請問兒子現在多少歲? (A) 25 (B) 28 (C) 53 (D) 55
#3413070
48. 在一個底部是邊長60公分的正方形,高是20公分的長方體容器中,放入1個長40公分、寬20公分、高30公分的直立積木,如右圖。已知原本的水面高度是14公分,放入積木後的水面高度是幾公分? (A) 17 (B) 18 (C) 19 (D) 20
#3413071
49. 有一批手工製品,若單獨由父親做5小時完成,母親單獨做需6小時完成,但若是兒子或女兒單獨做則皆需15個小時才能完成。請問若由四人通力合作,則需要多少小時才能完成? (A) 1 (B) 1.5 (C) 2 (D) 2.5
#3413072
50. 甲、乙兩種機器分別以固定速率生產一批貨物,若4臺甲機器和2臺乙機器同時運轉3小時的總產量,與2臺甲機器和5臺乙機器同時運轉2小時的總產量相同。試問1臺甲機器運轉1小時的產量,與1臺乙機器運轉幾小時的產量相同? (A) (B)(C)(D) 2
#3413073
複選題4. \( x = C_0^{21}(\sqrt{5}-1)^{21} + C_1^{21}(\sqrt{5}-1)^{20} + C_2^{21}(\sqrt{5}-1)^{19} + \cdots + C_{20}^{21}(\sqrt{5}-1) + 1 \),試問下列選項哪些正確? 參考數值:log2≈0.3010、log3≈0.4771、log7≈0.8451、log1.1≈0.0414、log3.1≈0.4914 (A)x 是有理數 (B)若 \( x = 10^a \),則 \( a = \dfrac{21}{2} \) (C)\( x > 10^{10\log 5} \) (D)x 的整數部分為八位數 (E)x 的整數部分最高兩位數字為 20
#3874173
相關試卷
115年 - 115-1 新北市立板橋高級中學_正式教師甄選試題:數學科#139339
2026 年 · #139339
115年 - 115-1 臺北市立南湖高級中學_正式教師甄選試題:數學科#139253
2026 年 · #139253
115年 - 115 國立屏東大學_各師資類科教育學程甄選試題:數學#139246
2026 年 · #139246
115年 - 115 臺北市立陽明高級中學正式教師甄選試題:高中數學科#139228
2026 年 · #139228
115年 - 115 新北市公立高級中等學校_教師聯合甄選試題:數學科#139227
2026 年 · #139227
115年 - 115 臺北市立內湖高級工業職業學校_正式教師甄試:數學科#139221
2026 年 · #139221
115年 - 115 桃園市立陽明高中_教師甄選試題:數學科#139018
2026 年 · #139018
115年 - 115 國立高科實驗高級中等學校_專任教師甄選_國小部:普通科(數學)#138942
2026 年 · #138942
115年 - 115-1 國立彰化女子高級中學_教師甄選試題:數學科#138761
2026 年 · #138761
115年 - 115-1 臺中市立文華高級中等學校_教師甄選專業知能試題:數學科#138727
2026 年 · #138727