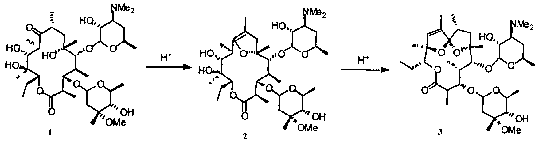
49 Erythromycin在酸溶液中,易形成下列那一種結果?
(A) 形成hemiacetal
(B) O-醣苷基斷裂
(C) 形成cyclic ketal
(D) desosamine破壞

答案:登入後查看
統計: A(50), B(29), C(75), D(13), E(0) #1079432

詳解 (共 3 筆)

#1605395

acid-catalyzed erythromycin

形成spiroketal (cyclic ketal ),傷胃

所以用CH3包起來可以減低位的傷害(clarithromycin)

imgf000004_0001.png 

7
0
#5833887
Erythromycin 中的羥基和酸反應,可以形成 cyclic ketal 結構
2
0
#6017097
Erythromycin酸催化,Eryt...
(共 223 字,隱藏中)
前往觀看
1
0