5 關於一個有 n 個節點的紅黑樹(red-black tree),下列敘述何者錯誤?
(A)根節點(root)是黑色
(B)如果一個節點是黑色,它的兩個子節點都會是紅色
(C)葉節點(leaf)是黑色
(D)從根節點到葉節點的每個路徑中,黑色節點的數量必須一樣
答案:登入後查看
統計: A(61), B(212), C(123), D(96), E(0) #2574502
統計: A(61), B(212), C(123), D(96), E(0) #2574502
詳解 (共 4 筆)
#4528198
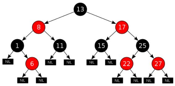
紅黑樹特性:
1. 每個節點要麼是紅色,要麼是黑色;
2. 根節點是黑色;
3. 每個葉節點(沒有子節點的節點)是黑色;
4. 如果一個節點是紅色,則它的兩個子節點都是黑色;
5. 對於每個節點,從該節點到其所有後代葉節點的路徑上,均包含相同數目的黑色節點。
(A)根節點(root)是黑色
對,特性1。
(B)如果一個節點是黑色,它的兩個子節點都會是紅色
錯,特性4。
若一個節點是黑色,子節點可黑可紅;一個節點是紅色,子節點必為黑色。
(C)葉節點(leaf)是黑色
對,特性3。
(D)從根節點到葉節點的每個路徑中,黑色節點的數量必須一樣
對,特性5。
38
0
#4609386
紅黑樹(英語:Red–black tree)是一種自平衡二元搜尋樹,是在電腦科學中用到的一種資料結構,典型用途是實現關聯陣列。它在1972年由魯道夫·貝爾發明,被稱為"對稱二元B樹",它現代的名字源於Leo J. Guibas和Robert Sedgewick於1978年寫的一篇論文。紅黑樹的結構複雜,但它的操作有著良好的最壞情況執行時間,並且在實踐中高效:它可以在{\displaystyle {\text{O}}(\log n)}
時間內完成尋找、插入和刪除,這裡的{\displaystyle n}
是樹中元素的數目。
性質
紅黑樹是每個節點都帶有顏色屬性的二元搜尋樹,顏色為紅色或黑色。在二元搜尋樹強制一般要求以外,對於任何有效的紅黑樹我們增加了如下的額外要求:
- 節點是紅色或黑色。
- 根是黑色。
- 所有葉子都是黑色(葉子是NIL節點)。
- 每個紅色節點必須有兩個黑色的子節點。(從每個葉子到根的所有路徑上不能有兩個連續的紅色節點。)
- 從任一節點到其每個葉子的所有簡單路徑都包含相同數目的黑色節點。

11
1