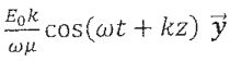
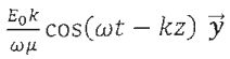
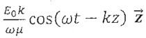
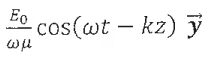
5.In a perfect dielectric medium with the permeability of μ, there exists an electric field given as:
= E₀ cos(ωt + kz)
. What is the magnetic field (H) in the region?
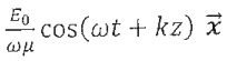
(A)
(B)
(C)
(D) 
(E) 
答案:登入後查看
統計: 尚無統計資料
統計: 尚無統計資料