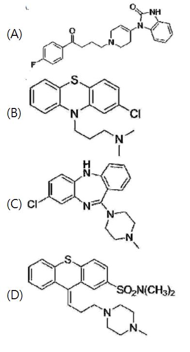
54.下列有關 butyrophenone 類抗精神疾症藥之結構敘述,何者錯誤?
(A)在碳鏈上的含三級氮環狀結構是主要活性來源
(B) 三個碳的碳鏈長度改變成二個碳的碳鏈,對活性影響不大
(C)其 keto 基團經還原後,活性降低
(D)其苯環之對位導入氟原子 ,可提升活性
答案:登入後查看
統計: A(139), B(4744), C(389), D(216), E(0) #2866792
統計: A(139), B(4744), C(389), D(216), E(0) #2866792
詳解 (共 7 筆)
#5483249
(107-2)65.下列何者與fentanyl可合併用作麻醉前給藥?ANS:A
(102-1)51.有關下圖化合物的敘述何者錯誤?ANS:C
(A)具鎮靜作用
(B)具止吐作用
(C)為長效的butyrophenone類藥物
(D)可與fentanyl併用於麻醉
(101-1)53 下圖中的化合物抗精神病活性最強時,n 等於多少?ANS:C
(A) 1
(B) 2
(C) 3
(D) 4
40
2
#5777099
Butyrophenone 類抗精神疾症藥 : Haloperidol, Droperidol
51.有關下圖化合物的敘述何者錯誤?
| Droperidol | 短效(脂溶性高) | 合併fentanyl稱作Innovar,用在麻醉前給藥 |
51.有關下圖化合物的敘述何者錯誤?
ㅤㅤ
(A) 具鎮靜作用
(B) 具止吐作用
(C) 為長效的butyrophenone類藥物
(D) 可與fentanyl併用於麻醉
ㅤㅤ
答案:C
專技 - 藥理學與藥物化學-93年 - 93-1 專技檢覈_藥師:藥物化學#11846
25 抗精神病藥Droperidol 是屬於下列那一類結構?
(A) Fluorobutyrophenone 類
(B) Phenothiazine 類
(C) 1,4-Benzodiazepine 類
(D) Thioxanthene 類
ㅤㅤ
答案:A
藥物化學-90年 - 90-2 專技檢覈_藥師:藥物化學#37356
專技 - 藥劑學(包括生物藥劑學)-102年 - 102-1 專技高考_藥師:藥劑學(包括生物藥劑學)#9914
8 將Haloperidol做何化學轉換,所得產物仍為臨床有用的精神抑制藥(neuroleptic)?
(A) 將酮基還原為醇
(B) 將碳鏈由3個碳減少為2個碳
(C) 將之衍生為decanoate
(D) 將苯環上之氟原子去掉
ㅤㅤ
答案:C
56.Haloperidol幾不溶於水,依中華藥典在注射劑配方中係用下列那一成分促其溶解?
(A) Tween 80
(B) Sodium hydroxide
(C) Lactic acid
(D) Propylene glycol
ㅤㅤ
答案:C
30
1
#6281204
通靈咒術:
A不知道
B感覺怪怪的
C:酮基還原的話脂溶性降低,效果應該不好
D同理,增加鹵素基團可以增加脂溶性,效果更好
看起來選B
4
3