55 在單萜成分之生合成中,那一個中間體是環化酶(Cyclase)作用的受質(Substrate)?
(A) Isopentenyl pyrophosphate
(B) Linalyl pyrophosphate
(C) Dimethylallyl pyrophosphate
(D) Geranyl pyrophosphate
答案:登入後查看
統計: A(19), B(23), C(10), D(21), E(0) #921248
統計: A(19), B(23), C(10), D(21), E(0) #921248
詳解 (共 3 筆)
#1415805
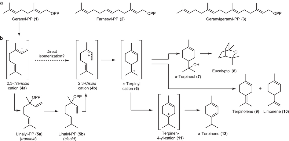
以下簡稱B選項為LPP
D選項為GPP
GPP的C2雙鍵為trans不易環化
所以要先透過一個酶叫做monoterpenoid synthases而變成B選項LPP (cis的狀態) 這麼一來就容易被環化了
所以環化的酶是作用在LPP也就是B選項

12
0
#1407639
請問答案不是D嗎
from 黃建材
0
2
#1407644
B是產物吧
0
0