58.下列何者不是nicotine之生合成途徑中的化合物?
(A)phenylalanine
(B)quinolinic acid
(C)ornithine
(D)aspartic acid
答案:登入後查看
統計: A(744), B(297), C(70), D(173), E(0) #3488326
統計: A(744), B(297), C(70), D(173), E(0) #3488326
詳解 (共 6 筆)
#6566163
[一次通過還願中,主要針對題目本身進行解析或提供考試時的解題想法]
[若解析不夠詳盡/侵害權益,煩請聯繫修正/刪除]
ㅤㅤ
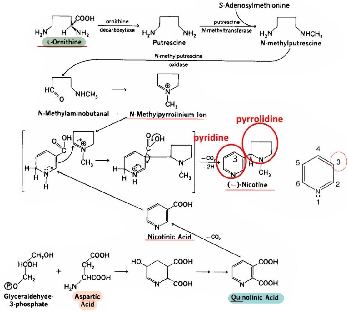
Nicotine的生合成途徑簡述如下:
(1)Nicotinic acid的合成
G3P+Aspartic acid(D)→Pyridine→Quinolinic acid(B)→Nicotinic acid
(2)N-methylpyrrolinium ion的合成
L-ornithine(C)→putrescine→N-methylputrescine→N-methylaminobutanal→
N-methylpyrrolinium ion
最後將Nicotinic acid+N-methylpyrrolinium ion,經過電子轉移過後即合成
(-)-nicotine,過程當中不會出現Phenylalanine(*註:莽草酸途徑的過程當中,會出現L-phenylalanine)。
10
0
#6576388

5
0
#6628862
Pyridine-Piperidine Alkaloid
※Nicotine 生合成
1. Pyrrolidine:由★Ornithine 生合成,再形成★中間產物 N-Methylpyrrolinium ion
2. Pyridine:★Aspartic acid 與 Glyceraldehyde-3-phosphate 縮合形成 Quonolinic acid,再形成★中間產物 Nicotinc acid
2
0