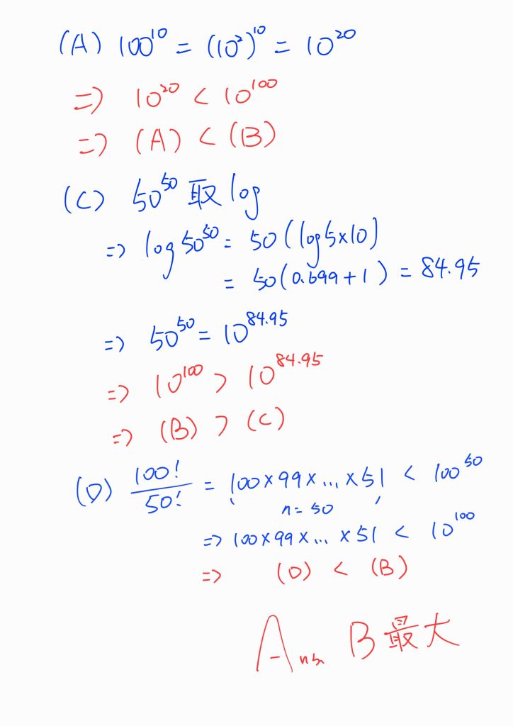
58.下列選項中的數,何者最大?
(A)100 10
(B)10 100
(C)50 50
(D)
答案:登入後查看
統計: A(111), B(989), C(349), D(300), E(0) #2380555
統計: A(111), B(989), C(349), D(300), E(0) #2380555

