阿摩線上測驗
登入
首頁
>
教甄◆電腦科專業
>
112年 - 112 桃園市立高級中等學校教師聯合甄選試題:資料處理#113999
> 試題詳解
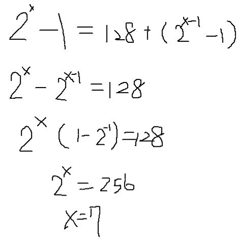
6.在一個完滿二元樹(FullBinaryTree)中,其樹葉節點有128個,則整個二元樹共有多少 個節點?
(A)255
(B)256
(C)511
(D)512
(E)129
答案:
登入後查看
統計:
A(22), B(4), C(3), D(1), E(4) #3094437
詳解 (共 2 筆)
洪小漢
B1 · 2023/05/03
#5797811
(共 1 字,隱藏中)
前往觀看
4
0
Chu-Chuan Kao
B2 · 2024/04/27
#6079220
0
0
相關試題
7.檢驗算式中所有之小括號()、中括號[]及大括號{}是否對稱,以下哪一種資料結構最適 合?(A)queue(B)stack(C)heap(D)hashtable(E)tree
#3094438
8.執行下列程式片段,輸出結果為何?(A)3(B)4(C)5(D)6(E)7
#3094439
複選題9.請選出下列何者為揮發性記憶體(A)暫存器(B)記憶卡(C)硬碟(D)快取記憶體(E)以上 皆是。
#3094440
複選題10.請選出下列何者的值與其他的都不相同(A)111000012(B)215(C)3418(D)E216(E)以上 皆不相同。
#3094441
複選題11.以有線電視電纜的架設為例,若只能沿著街道佈線,則以街道為邊,而路口為節點,這 些邊都有一個數值,代表此邊的成本。我們可以去除圖形中的某些邊,使得剩下的邊能 連結所有的節點,何種演算法能使佈線成本最低。 (A)Bellman-FordAlgorithm(B)DijkstraAlgorithm(C)Floyd-Warshall (D)KruskalAlgorithm(E)PrimAlgorithm
#3094442
複選題12.數字迷宮為一個二維的數字陣列。可以用上、下、左、右方向在迷宮中尋訪。假設每一 格的數字代表造訪該格的成本,那麼求出從入口(左上角)走到出口(右下角)所需的最小成本。何種演算法能找出最小成本?(A)Bellman-FordAlgorithm(B)Dijkstra Algorithm (C) Floyd-Warshall (D) Kruskal Algorithm (E) Prim Algorithm
#3094443
複選題13.以下哪些問題通常使用動態程式規劃(DynamicProgramming)來解決? (A)最長共同子序列(LongestCommonSubsequence):在兩個序列中找到一個最長的 子序列,該子序列在兩個序列中以相同的順序出現 (B)最小編輯距離(MinimumEditDistance):計算將一個字串轉換成另一個字串所需的 最小編輯次數。 (C)最長遞增子序列(LongestIncreasingSubsequence):在一個數列中找到一個最長的 遞增子序列。 (D)最小生成樹(MinimumSpanningTree):在一個連通的帶權無向圖中,找到一棵包 含所有節點的樹,且所有邊的權值總和最小。 (E)最短路徑問題(ShortestPathProblem):在一個帶權有向圖中,找到從一個起點到其 他所有節點的最短路徑。
#3094444
1. 若採用相同配對材料、且具有相同公稱直徑和螺距,下列四種傳 動螺桿類型何者傳動效率最高? (A) 單螺紋矩形螺桿 (B) 單螺紋梯形螺桿 (C) 雙螺紋矩形螺桿 (D) 雙螺紋梯形螺桿
#3094445
2.構成機械的最基本元素是 (A)機構 (B)機件 (C)機架 (D)結構
#3094446
3. 在螺栓連接設計中,若被連接件為鑄件,常會在螺栓孔處做沉 頭孔,其主要目的為何? (A) 方便安裝 (B) 設計較美觀 (C) 為安裝防鬆裝置 (D) 避免螺栓受附加彎曲應力
#3094447
相關試卷
113年 - 113 金門縣國民小學教師聯合甄選試題:資訊科技專業科目#120867
2024 年 · #120867
113年 - 113 高雄市市立國民小學_教師聯合甄選:專長類-資訊試卷#120693
2024 年 · #120693
112年 - 112 新北市國民小學暨幼兒園教師甄選試題:資訊科#118895
2023 年 · #118895
112年 - 112-1 國立臺東大學附設實驗國民小學教師甄選試題:資訊專業科目#115036
2023 年 · #115036
112年 - 112 臺北市市立國民中學正式教師聯合甄選:資訊科技(雙語)科#114640
2023 年 · #114640
112年 - 112 臺北市市立國民中學正式教師聯合甄選:資訊科技科#114633
2023 年 · #114633
112年 - 112 高雄市市立高級中等學校聯合教師甄選試題:資料處理科#114465
2023 年 · #114465
112年 - 112-1 國立東華大學附設實驗國民小學教師甄選題目:資訊專業#114445
2023 年 · #114445
112年 - 112 臺北市市立普通型暨技術型高級中等學校正式教師聯合甄選:資料處理科#114335
2023 年 · #114335
112年 - 112 新北市公立高級中等學校教師聯合甄選試題:資訊科#114159
2023 年 · #114159