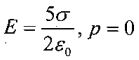
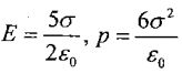
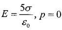
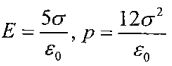
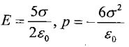
6.Two infinite non-conducting sheets A and B having uniform surface charge densities 3σ and 4σ respectively intersect with each other at right angle. Find the magnitude of the electric field E between the sheets and the pressure p acting on sheet B due to sheet A.
(A)
(B)
(C)
(D)
(E)
答案:登入後查看
統計: 尚無統計資料
統計: 尚無統計資料