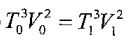
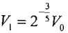
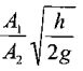
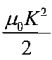
25.In a double slit experiment, one has observed the interference pattern on a distant screen as shown in the right figure. Which one(s) of the followings are correct?
(A) The envelope of the intensity function is sinusoidal. (B) The interference peak has decreasing amplitude as θ increases and this is due to diffraction. (C) The slit separation is 8 times the slit width. (D) With the same slit separation, if one makes the slit width larger, the peak intensity will decreases faster as θ increases. (E) If one increases the split number from two to four, the pattern will still be the same.