阿摩線上測驗
登入
首頁
>
研究所、轉學考(插大)◆普通物理學
>
94年 - 94 台灣聯合大學系統_學士班轉學考試B6B7:普通物理#138601
> 試題詳解
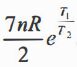
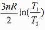
6.n莫爾的單原子理想氣體在定壓過程中,溫度由T
2
上升至T
1
,熵(entropy)的改變量為
(A)
(B)
(C)
(D)
(E)
答案:
登入後查看
統計:
尚無統計資料
相關試題
7.下列關於電場特性的敘述,何者錯誤? (A) 電場是向量場 (B) 電場中的帶電粒子必定沿電力線運動 (C) 電場的觀念和定義,與重力場相似 (D) 電場的任何兩條電力線在中途必定不能相交 (E) 電場的電力線不一定是直線
#3860484
8.有一線路如圖所示,開關S打開,電容未充電。在時間t=0,開關S關起來(導通),請問一分鐘後電容器上電荷大約是多少μC?(50V電源、80MΩ電阻、30μF電容) (A) 2400 (B) 1500 (C) 4000 (D) 24 (E) 1200
#3860485
9.電廠所發的電,先用變壓器把電壓升高,輸送到遠方。送到用戶附近時,再用變壓器把電壓降低,然後才送給各用戶。有關變壓器調節電壓的原理,下列敘述何項錯誤? (A) 為了便於改變電壓,輸出及輸入的電流為交流電 (B) 電流有磁效應 (C) 磁通量的變化產生感應電動勢 (D) 變壓器將電壓降低時,因電壓下降會損失許多電能
#3860486
10.一頻率1GHz的電磁波在同軸電纜內傳遞訊息,其行進速度是3.0×10⁸ m/s。這個波的波長是 (A) 30mm (B) 30cm (C) 30m (D) 30km (E) 30nm
#3860487
11.如圖所示的電路,電池的內電阻可忽略,電動勢固定,最初當三個電阻器的電阻均不為零時,電路上a、b兩點間的電位差V,與通過R1的電流I,均大於零。如果R3的電阻變為零,則I和V會如何變化? (A) I變大,V變大 (B) I變大,V變小 (C) I變小,V變大 (D) I變小,V變小 (E) I不變,V變大
#3860488
12.一質子以速度V,從很遠的地方,撞向一位置固定且帶電荷+Ze的原子核。在距離原子核R時,質子受到斥力並減速為1/2 V。當質子速度降成1/4 V,它距離原子核有多遠? (A) R/16 (B) R/4 (C) 4R/5 (D) R/2 (E) 3R/4
#3860489
13.一河流由西流向東方,河寬3L,河水流速7v。南岸一碼頭A,其正對岸點為B,在北岸上B的東方C點與B相距4L。船由A出發,如果以等速沿直線到達C,則船速應為多少v? (A) 21/4 (B) 21/2 (C) 28/3 (D) 14/3 (E) 7
#3860490
14.質量為m的物體置於水平桌面上與水平桌面間有靜摩擦係數μ。對m施以一與水平夾θ角之拉力,使拉力由小逐漸增大(θ不變),在拉力多大時物體會開始運動? (A) (B) (C) (D) (E) 以上皆非
#3860491
15.木塊m1放在一光滑無摩擦力水平面上,木塊m2又放在木板m1之上。m1與m2間有靜摩擦係數μ。以一水平力F拉m2。當m1與m2能一起用相同速度運動時,F的最大值為 (A) (B) (C) (D) (E)
#3860492
16.沒有摩擦力的水平表面上有A木塊與B木塊,A在B的左邊,質量分別為2及5公斤,速度分別是10及3 m/s,皆向右運動。一彈性係數為1120 N/m的理想彈簧(質量可忽略)連接在木塊B上朝向A木塊。兩個木塊碰撞時,彈簧開始壓縮,則彈簧的最大壓縮量是 (A) 1 m (B) 0.75 m (C) 0.5 m (D) 0.25 m (E) 0.1 m
#3860493
相關試卷
115年 - 115 台灣聯合大學系統_碩士班招生考試_物理類:普通物理#139676
2026 年 · #139676
115年 - [無官方正解]115 國立中山大學_碩士班考試入學招生考試試題_物理系:普通物理#138395
2026 年 · #138395
115年 - [無官方正解]115 國立臺灣大學_碩士班招生考試:普通物理學#137725
2026 年 · #137725
114年 - [無官方正解]114 國立成功大學_碩士班招生考試_物理學系:普通物理學#138760
2025 年 · #138760
114年 - [無官方正解]114 國立中山大學_碩士班招生考試試題_物理系:普通物理#137736
2025 年 · #137736
114年 - 114 台灣聯合大學系統_碩士班招生考試:普通物理#137733
2025 年 · #137733
114年 - 114 臺灣綜合大學系統_學士班轉學生聯合招生考試試題:普通物理A#129365
2025 年 · #129365
114年 - 114 臺灣綜合大學系統_學士班轉學生聯合招生考試試題:普通物理B#129362
2025 年 · #129362
114年 - 114 臺灣綜合大學系統_學士班轉學生聯合招生考試試題:普通物理C#129360
2025 年 · #129360
114年 - [無官方正解]114 國立臺灣大學_轉學生招生考試試題:普通物理學(A)#128199
2025 年 · #128199