所屬科目:研究所、轉學考(插大)◆普通物理學
1.光柵的間隔為d,兩道光波長為λ與λ+Δλ,以相同的角度入射。第4階繞射角分別為θ與θ+Δθ。則Δθ為 (A)(B) (C) (D)(E)
2.為減少光在鏡片上的反射,通常會在鏡片表面鍍以n=1.5的薄膜做為抗反射。若是光源波長為750nm,則下列何者為適當的薄膜厚度? (A) 325nm (B) 425nm (C) 525nm (D) 625nm (E) 725nm
3.一質子(質量為m,帶有電荷q),經過電壓為V的電極加速後,其德布洛依(de Broglie)波長為 (A) (B)(C) (D) (E)
4.在黑體輻射中,根據維恩位移定律(Wein's Displacement Law),若在溫度T時黑體輻射的光譜最強位於波長λ處。則當溫度上升至3T時,光譜最強位於波長 (A) λ/12 (B) λ/3 (C) λ/243 (D) λ/9 (E) λ/6
5.在氫原子中主量子數n=1與n=3的能階差為12.09eV,則n=3與n=4的能階差為 (A) 13.6 eV (B) 5.1 eV (C) 1.9 eV (D) 0.66 eV (E) 20.4 eV
6.n莫爾的單原子理想氣體在定壓過程中,溫度由T2上升至T1,熵(entropy)的改變量為 (A) (B) (C) (D) (E)
7.下列關於電場特性的敘述,何者錯誤? (A) 電場是向量場 (B) 電場中的帶電粒子必定沿電力線運動 (C) 電場的觀念和定義,與重力場相似 (D) 電場的任何兩條電力線在中途必定不能相交 (E) 電場的電力線不一定是直線
8.有一線路如圖所示,開關S打開,電容未充電。在時間t=0,開關S關起來(導通),請問一分鐘後電容器上電荷大約是多少μC?(50V電源、80MΩ電阻、30μF電容)
(A) 2400 (B) 1500 (C) 4000 (D) 24 (E) 1200
9.電廠所發的電,先用變壓器把電壓升高,輸送到遠方。送到用戶附近時,再用變壓器把電壓降低,然後才送給各用戶。有關變壓器調節電壓的原理,下列敘述何項錯誤? (A) 為了便於改變電壓,輸出及輸入的電流為交流電 (B) 電流有磁效應 (C) 磁通量的變化產生感應電動勢 (D) 變壓器將電壓降低時,因電壓下降會損失許多電能
10.一頻率1GHz的電磁波在同軸電纜內傳遞訊息,其行進速度是3.0×10⁸ m/s。這個波的波長是 (A) 30mm (B) 30cm (C) 30m (D) 30km (E) 30nm
11.如圖所示的電路,電池的內電阻可忽略,電動勢固定,最初當三個電阻器的電阻均不為零時,電路上a、b兩點間的電位差V,與通過R1的電流I,均大於零。如果R3的電阻變為零,則I和V會如何變化?
(A) I變大,V變大 (B) I變大,V變小 (C) I變小,V變大 (D) I變小,V變小 (E) I不變,V變大
12.一質子以速度V,從很遠的地方,撞向一位置固定且帶電荷+Ze的原子核。在距離原子核R時,質子受到斥力並減速為1/2 V。當質子速度降成1/4 V,它距離原子核有多遠? (A) R/16 (B) R/4 (C) 4R/5 (D) R/2 (E) 3R/4
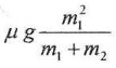
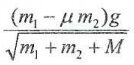
13.一河流由西流向東方,河寬3L,河水流速7v。南岸一碼頭A,其正對岸點為B,在北岸上B的東方C點與B相距4L。船由A出發,如果以等速沿直線到達C,則船速應為多少v? (A) 21/4 (B) 21/2 (C) 28/3 (D) 14/3 (E) 7
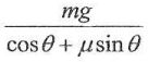
14.質量為m的物體置於水平桌面上與水平桌面間有靜摩擦係數μ。對m施以一與水平夾θ角之拉力,使拉力由小逐漸增大(θ不變),在拉力多大時物體會開始運動? (A) (B) (C) (D) (E) 以上皆非
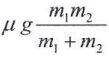
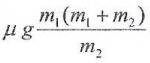
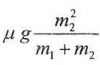
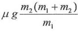
15.木塊m1放在一光滑無摩擦力水平面上,木塊m2又放在木板m1之上。m1與m2間有靜摩擦係數μ。以一水平力F拉m2。當m1與m2能一起用相同速度運動時,F的最大值為 (A) (B) (C) (D) (E)
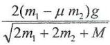
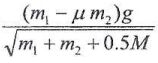
16.沒有摩擦力的水平表面上有A木塊與B木塊,A在B的左邊,質量分別為2及5公斤,速度分別是10及3 m/s,皆向右運動。一彈性係數為1120 N/m的理想彈簧(質量可忽略)連接在木塊B上朝向A木塊。兩個木塊碰撞時,彈簧開始壓縮,則彈簧的最大壓縮量是 (A) 1 m (B) 0.75 m (C) 0.5 m (D) 0.25 m (E) 0.1 m
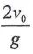
17.質量0.50公斤的球,綁在h=70公分的繩子的一端,另一端固定(見右圖),當球靜止自繩子水平位置放下,在最低點時撞擊(彈性碰撞)質量2.5公斤的方形靜止木塊。方形木塊置於摩擦係數為0.5的表面上,撞擊後方形木塊向右移動經過一段距離停止,則此距離為
(A) 0.45 m (B) 0.35 m (C) 0.25 m (D) 0.15 m (E) 0.05 m
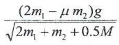
18.在圖中m1>m2,繩子重量不計;繩子與滑輪M沒有滑動,在需考慮滑輪的轉動(ICM=MR²/2)下,m1自靜止釋放。如m2與水平面有摩擦係數μ,則m1的加速度為
(A)(B)(C)(D)(E) 以上皆非
19.下列何者不正確?
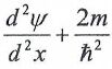
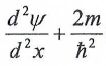
(A) 測不準定律:ΔX·ΔE≥h (B) 薛丁格(Schrödinger)動方程:(E-U)ψ=1 (C) 在光電效應中,照射的光源若是光強度越大,則光電流越大 (D) 在波爾(Bohr)的原子模型中,電子不會發生躍遷,以避免行星模型崩潰 (E) 康普吞(Compton)效應證明了光子的存在
20.一理想氣體進行如右圖的ABCA循環,下列何者正確?
(A) 每一循環該氣體所做的功=2P₀V₀ (B) 每一循環該氣體所做的功=P₀V₀ (C) 每一循環該氣體所需的熱=2P₀V₀ (D) 每一循環該氣體所需的熱=P₀V₀ (E) 以上皆非
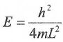
21.在一個邊長為L的盒子中,有一質量為m的粒子。考慮該狀況為無窮深位能井,則當該粒子位於基態時 (A) 能量最大, (B) 能量最小, (C) 出現在中心位置的機率最大 (D) 出現在邊緣的機率最大 (E) 出現在盒子外面的機率為0
22.三道光分別為E1=E0 sin(ωt+φ),E2=E0 sin(ωt+φ),E3=E0 sin(ωt+2φ),三者進行干涉混合得到Et=Et0 sin(ωt+θ) (A) 當φ=π/6,θ=π/2 (B) 當φ=2π/3,θ=0 (C) 當φ=π,θ=π (D) 當φ=π/2,θ=3π (E) 當φ=3π/4,θ=π/4
23.下圖為家用110伏特交流電的線路圖,甲、乙為插座之接線,丙、丁為電燈之接線,其中乙和丁均與電壓為零之地線相接。下列之敘述何者正確?
(A) 流經丙與丁之電流時大時小 (B) 接線丙之電壓恆為110伏特 (C) 接線乙與丁之電壓恆相等 (D) 接線丙之電壓恆比丁高 (E) 接線甲之電壓恆比乙高
24.一個電容器的電容與下列何者有關? (A) 電壓大小 (B) 介電材質特性 (C) 儲存能量 (D) 儲存電荷 (E) 電容器的形狀
25.保利龍球很容易因摩擦起電而帶靜電。如下圖所示,為四個以絕緣細線懸吊的保利龍球,其相互間因靜電作用而呈現的排列情形。如果丁球帶正電,則甲球及乙球所帶的電性可能為下列哪些選項?
26.如下圖所示,一磁棒正在遠離一螺線管。下列敘述何者正確?
(A) 螺線管會產生吸引力 (B) 螺線管會產生排斥力 (C) 電流由a流向b (D) 電流由b流向a (E) 螺線管上沒反應
27.一物體以仰角θ,初速度v0射出。設重力加速度為g,忽略摩擦力,則 (A) 物體到達最高點的時間為 (B) 在最高點處,運動軌跡的曲率半徑為 (C) 物體落回地面時,水平射程為 (D) 使水平射程為最遠的發射角θ=45度 (E) 調整發射角使物體自發射至落地之飛行時間為最長,則最長飛行時間為
28.下列哪些函數可代表行進波? (A) A sin²[π(t+x/v)] (B) A cos(kx-ωt)² (C) A sin[(kx)²+(ωt)²] (D) e-A(x-vt)² (E) A(x+vt)⁵
29.下列敘述何者為真? (A) 物體的動能保持固定時,作用在物體上的淨力為零 (B) 車速增加50%時,用相同的摩擦力停住車子的煞車距離增加2倍 (C) 當你將箱子從地上搬到桌上時,你對箱子作正功,而地心引力則對箱子作負功 (D) 摩擦力只會作負功 (E) 在位能與距離圖上,在負位能的位置上物體受到向原點的吸引力
30.下列敘述何者為真? (A) 湖水從表面開始結冰的根本原因是因為水的密度在4度C最大 (B) 河寬水流緩慢,河窄則水流湍急可用白奴力(Bernoulli)效應解釋 (C) 潛艇的浮力與下潛原理就是帕斯卡(Pascal)原理 (D) 在地球與月球上,物體在同樣的液體中所受的浮力相同 (E) 密度比液體大的物體所受浮力與深度無關