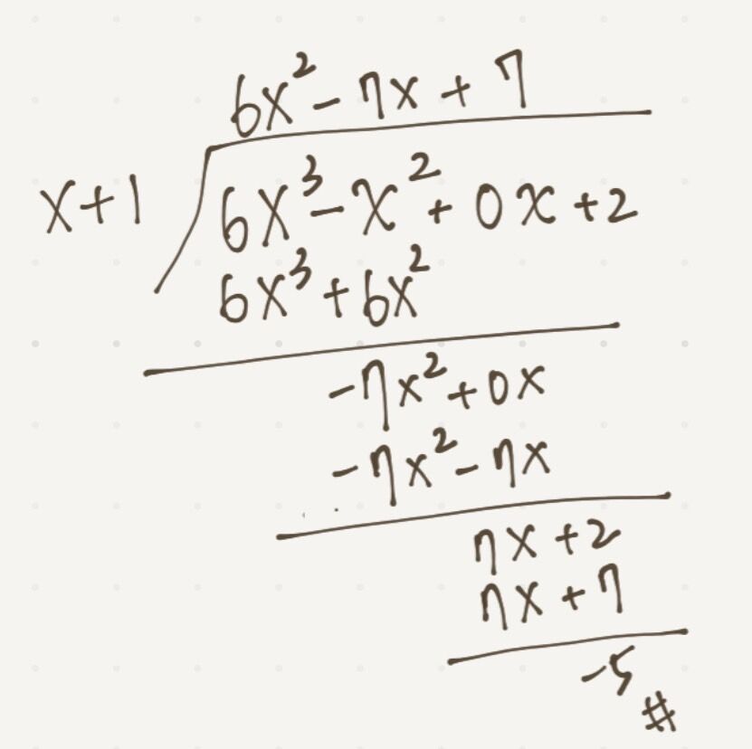
60. 以 x+1 除 6x3-x2+2,所得餘數為多少?
(A) 7
(B) 3
(C) -1
(D) -5
答案:登入後查看
統計: A(163), B(198), C(260), D(1977), E(0) #3112644
統計: A(163), B(198), C(260), D(1977), E(0) #3112644
詳解 (共 10 筆)
#6035519
X=-1代入
-6-1+2=-5
12
0
#6058851

11
0
#6419562
綜合除法
0
0