阿摩線上測驗
登入
首頁
>
教甄◆數學
>
107年 - 107 高雄市市立國民小學教師聯合甄選_專長類:數學#69847
> 試題詳解
62.甲、乙兩師手上都抱著一些書,甲說:如果我從你手上拿過來一本書,我的書數就是你 的兩倍;如果你從我手上拿過去一本,你的書數就和我的一樣。問甲師手上原有幾本書?
(A)5本
(B)6本
(C)7本
(D)8本
答案:
登入後查看
統計:
A(128), B(31), C(419), D(6), E(0) #1816335
詳解 (共 2 筆)
林怡芬
B1 · 2018/06/23
#2869346
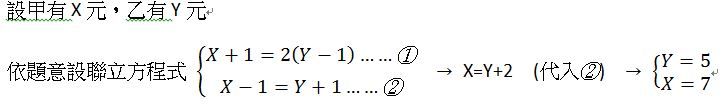
設甲師有Y本書,乙師有X本書Y+1=2(...
(共 52 字,隱藏中)
前往觀看
11
2
pudding0512
B2 · 2019/02/27
#3217617
6
0
私人筆記 (共 1 筆)
Meya Cheng [112已上榜]
2019/04/05
私人筆記#1365497
未解鎖
(共 0 字,隱藏中)
前往觀看
0
0
相關試題
61.有一數學問題「已知弟弟的錢是哥哥的0.4倍,也是姐姐的0.6倍。若哥哥有3000元,求 姐姐有多少元?」,下列何者可以算出正確答案? (A)3000 × 0.4 × 0.6 (B)3000 × 0.4 ÷ 0.6 (C)3000 ÷ 0.4 × 0.6 (D)3000 ÷ 0.4 ÷ 0.6
#1816334
63.周長相等的圓形與正方形,何者面積較大? (A)圓形 (B)正方形 (C)一樣大 (D)條件不足,無法比較
#1816336
64.有一個長方體,已知其中三個面的面積分別是40、65、與104,則此長方體的體積為何? (A)480 (B)520 (C)1260 (D)1560
#1816337
65.教師請學童設計一道可以用「15+10 × 4」算出答案的數學題目。甲童:「鈞鈞原有15元, 爸爸又給他4個10元後,鈞鈞共有幾元?」、乙學童:「強強體重10公斤,哥哥的體重是他 的4倍,爸爸又比哥哥重15公斤,爸爸重幾公斤?」;問哪些學童設計的題目正確? (A)只有甲 (B)只有乙 (C)甲、乙皆正確 (D)甲、乙皆不正確
#1816338
66.設A、B、C為平面上相異三點,且不在同一直線上。在平面上另取一點D,使得A、B、C、 D成為一平行四邊形的四個頂點,則這樣的D一共有多少個? (A)3 (B)2 (C)1 (D)0
#1816339
67.小明早上6 時10 分由家中出發上學,他走了 的路程後發現忘了帶作業簿,又折回家去 拿,結果在7時55分到學校。假設小明等速前進,回家後又立刻出發,請問如果小明沒有 忘記帶作業,他原本會在幾時幾分到達學校? (A)7時10分 (B)7時30分 (C)7時20分 (D)7時15分
#1816340
68.連續擲一粒公正骰子兩次,出現的點數越來越大(即第一次點數小於第二次點數)的機 率是多少? (A) (B) (C) (D)
#1816341
69. 小華10次測驗的平均分數是87分,老師將他10次考試的最低分與最高分46分及96分刪除 後做為小華的平均,則小華的平均為? (A)91 (B)90 (C)87 (D)81
#1816342
70. 下列關於「平方根」的敘述 , 哪一項是正確的? (A)已知a = 192,則a為19的平方根 (B)因為-9=-3 2 ,所以-3是-9的平方根 (C)已知a是36的平方根,則-a也是36的平方根 (D)因為任一整數的平方不等於20,所以20沒有平方根
#1816343
複選題4. \( x = C_0^{21}(\sqrt{5}-1)^{21} + C_1^{21}(\sqrt{5}-1)^{20} + C_2^{21}(\sqrt{5}-1)^{19} + \cdots + C_{20}^{21}(\sqrt{5}-1) + 1 \),試問下列選項哪些正確? 參考數值:log2≈0.3010、log3≈0.4771、log7≈0.8451、log1.1≈0.0414、log3.1≈0.4914 (A)x 是有理數 (B)若 \( x = 10^a \),則 \( a = \dfrac{21}{2} \) (C)\( x > 10^{10\log 5} \) (D)x 的整數部分為八位數 (E)x 的整數部分最高兩位數字為 20
#3874173
相關試卷
115年 - 115 臺北市立南港高級中學_正式教師甄選_高中數學科#139341
2026 年 · #139341
115年 - 115-1 新北市立板橋高級中學_正式教師甄選試題:數學科#139339
2026 年 · #139339
115年 - 115-1 臺北市立南湖高級中學_正式教師甄選試題:數學科#139253
2026 年 · #139253
115年 - 115 國立屏東大學_各師資類科教育學程甄選試題:數學#139246
2026 年 · #139246
115年 - 115 臺北市立陽明高級中學正式教師甄選試題:高中數學科#139228
2026 年 · #139228
115年 - 115 新北市公立高級中等學校_教師聯合甄選試題:數學科#139227
2026 年 · #139227
115年 - 115 臺北市立內湖高級工業職業學校_正式教師甄試:數學科#139221
2026 年 · #139221
115年 - 115 桃園市立陽明高中_教師甄選試題:數學科#139018
2026 年 · #139018
115年 - 115 國立高科實驗高級中等學校_專任教師甄選_國小部:普通科(數學)#138942
2026 年 · #138942
115年 - 115-1 國立彰化女子高級中學_教師甄選試題:數學科#138761
2026 年 · #138761