阿摩線上測驗
登入
首頁
>
國營事業◆1.電路學 2.電子學
>
111年 - 111 經濟部所屬事業機構_新進職員甄試_電機(一)、電機(二)、儀電:1.電路學 2.電子學#111368
> 試題詳解
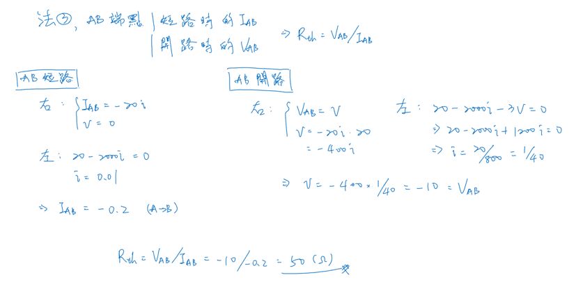
7. 某含相依電源之電路如右圖所示, 試求等效電路之戴維寧電阻(
)為 多少歐姆(Ω)?
(A) 10 Ω
(B) 25 Ω
(C) 50 Ω
(D) 100 Ω
答案:
登入後查看
統計:
A(19), B(29), C(140), D(8), E(0) #3010839
詳解 (共 3 筆)
JY C
B2 · 2023/08/30
#5921584
(共 1 字,隱藏中)
前往觀看
12
0
阿中-絕不開分身按讚
B1 · 2022/10/27
#5645959
(共 1 字,隱藏中)
前往觀看
11
0
vencent8041
B3 · 2025/03/24
#6344801
4
0
私人筆記 (共 1 筆)
邵恆
2024/09/29
私人筆記#6407789
未解鎖
國營事業◆1.電路學 2.電子學 -...
(共 798 字,隱藏中)
前往觀看
8
1
相關試題
1. 一台額定功率3000瓦特(W)的電熱器,連續使用30分鐘,若以每1度電收費2.5元,應繳交電費 多少元? (A) 3.25元 (B) 3.75元 (C) 4.00元 (D) 4.25元
#3010833
2. 某電路如右圖所示,請問電阻 RA 及 RB 分別為多少歐姆(Ω)? (A) RA為4 Ω,RB為11 Ω (B) RA為4 Ω,RB為22 Ω (C) RA為8 Ω,RB為11 Ω (D) RA為8 Ω,RB為22 Ω
#3010834
3. 某電路如右圖所示,電流 I 為多少安培( A )? (A) 24 A (B) 34 A (C) 37 A (D) 54 A
#3010835
4. 某電路如右圖所示,已知 10 μF電容器充電電壓為300伏特 ,請問電源電壓E為多少伏特(V)? (A) 250 V (B) 500 V (C) 750 V (D) 1500 V
#3010836
5. 有一台電動機接於sin(1000t)之電源,產生 P = 4 kW,QL = 8 kvar。若希望將其 PF 提高 至0.8,則需要並聯多少法拉(F)之電容器? (A) 50 μF (B) 100 μF (C) 250 μF (D) 500 μF
#3010837
6. 有關拉氏轉換之性質,下列何者有誤? (A) £[k1f1(t)+k2f2(t)] = k1£[f1(t)]+k2£[f2(t)] (B) (C)(D)
#3010838
8. 有一個1φ3W供電系統如右圖所示,請問若中性線斷裂造成 開路時,下列何者負載會燒損? (A)負載A燒損 (B)負載B燒損 (C)負載A及負載B皆燒損 (D)負載A及負載B皆不會燒損
#3010840
9. 如右圖之串並聯電路,試求 i 為多少安培( A )?(A) 1 A (B) 2 A (C) 3 A (D) 9 A
#3010841
10. 有一 10 mH電感器通過之電流為 5sin(200t) mA,試求此電感器的端電壓 vL(t) 為何? (A) 10sin(200t) mV (B) 100sin(200t) mV (C) 10cos(200t) mV (D) 100cos(200t) mV
#3010842
11. 某電路如右圖,若 v1(0- ) = 6 V,i1(0- ) = 1 A,且開 關在 t = 0 時打開,下列何者正確? (A) v1(0+ ) = 12 V (B) v2(0+ ) = -18 V (C) i1(0+ ) = -1 A (D) i2(0+ ) = 1 A
#3010843
相關試卷
114年 - 114 台灣電力公司_大學及研究所獎學金甄選試題_電驛:電路學、電子學及保護協調#137052
2025 年 · #137052
114年 - 114 經濟部所屬事業機構_新進職員甄試試題_電機、儀電:1 .電路學 2 .電子學#136976
2025 年 · #136976
113年 - 113 經濟部所屬事業機構_新進職員甄試_電機(一)、電機(二)、儀電:電路學、電子學#123749
2024 年 · #123749
112年 - 112 經濟部所屬事業機構_新進職員甄試試題_電機、儀電:1.電路學 2.電子學#116960
2023 年 · #116960
111年 - 111 經濟部所屬事業機構_新進職員甄試_電機(一)、電機(二)、儀電:1.電路學 2.電子學#111368
2022 年 · #111368
110年 - 110 經濟部所屬事業機構_新進職員甄試_電機(一)、電機(二)、儀電:1.電路學 2.電子學#103646
2021 年 · #103646
109年 - 109 經濟部所屬事業機構_新進職員甄試_電機、儀電:1.電路學 2.電子學#92825
2020 年 · #92825
108年 - 108 經濟部所屬事業機構_新進職員甄試_電機、儀電:1.電路學 2.電子學#80841
2019 年 · #80841
107年 - 107 經濟部所屬事業機構_新進職員甄試_電機、儀電:1.電路學 2.電子學#92331
2018 年 · #92331
107年 - 107 中華郵政股份有限公司_職階人員甄試_營運職/電機工程:電路學與電子學#68276
2018 年 · #68276