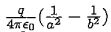
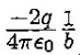
7. A conducting sphere of radius a has a charge q. It is enclosed by a conducting shell of radius b with a charge −q as shown in Fig. 4. What is the potential difference V = φ(a) − φ(b)?
(A) 
(B)
(C) 0
(D)
(E)
答案:登入後查看
統計: 尚無統計資料
統計: 尚無統計資料