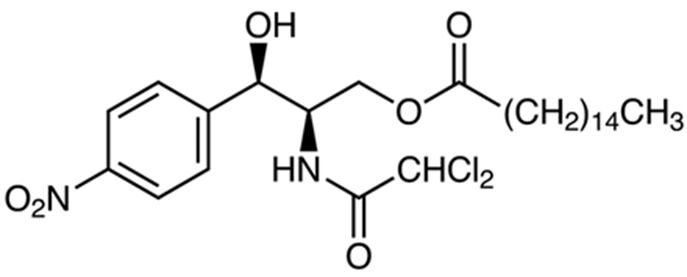
74.下列chloramphenicol(結構如下圖)異構物組態,何者具有顯著抗菌活性?
(A)1R,2R
(B)1R,2S
(C)1S,2S
(D)1S,2R
答案:登入後查看
統計: A(1987), B(1772), C(651), D(873), E(0) #2973228
統計: A(1987), B(1772), C(651), D(873), E(0) #2973228
詳解 (共 8 筆)
#5880183

之前做的整理!可以遮起來看看會不會判斷!
83
0
#5712360
這種題目不用通靈!可以了解一下費歇爾投影式 (Fischer projection)就可以解決了!
https://highscope.ch.ntu.edu.tw/wordpress/?p=58431
https://highscope.ch.ntu.edu.tw/wordpress/?p=58431
23
0
#6238367
考古
ㅤㅤ
| Chloramphenicol | |
| 機轉 |
作用於 50 s 核醣體次單元
抑制轉胜肽作用(transpeptidation)
|
|
肝臟代謝 → C3-glucuronide
CYP450 抑制劑
口服吸收好,脂溶性高
|
|
| 副作用 |
成人再生不能性貧血
灰嬰症候群 (gray baby syndrome)
|
| 結構 |
1R,2R
![]() |
ㅤㅤ
ㅤㅤ
4. 下列抗生素中,何者不會經由肝臟代謝?
(A) isoniazid
(B) netilmicin
(C) chloramphenicol
(D) moxifloxacin
ㅤㅤ
-113年 - 113-2 專技高考_藥師(一):藥理學與藥物化學#121685答案:(B) netilmicin:由腎排除
(C) chloramphenicol:由肝排除→ C3-glucuronide
(D) moxifloxacin:由肝排除
ㅤㅤ
ㅤㅤ
6. 抑制細菌核糖體的抗生素與機轉配對,下列何者正確?
(A) tetracycline可造成misreading of mRNA,而使細菌加入錯誤胺基酸,生成無功能之蛋白質
(B) lefamulin可抑制70S ribosome之initiation complex生成
(C) erythromycin可抑制peptidyl transferase之活性
(D) chloramphenicol可抑制aminoacyl-tRNA結合至mRNA ribosome complex
ㅤㅤ
-113年 - 113-2 專技高考_藥師(一):藥理學與藥物化學#121685答案:(C)
(A) tetracycline Aminoglycosides可造成misreading of mRNA,而使細菌加入錯誤胺基酸,生成無功能之蛋白質 (Spectinomycin例外)
(B) lefamulin linezolid 可抑制70S ribosome之initiation complex生成 是
(C) erythromycin可抑制peptidyl transferase之活性
(D) chloramphenicol tetracycline可抑制aminoacyl-tRNA結合至mRNA ribosome complex
* chloramphenicol 作用於 50 s 核醣體次單元,抑制轉胜肽作用(transpeptidation)
ㅤㅤ
ㅤㅤ
74. 下列chloramphenicol(結構如下圖)異構物組態,何者具有顯著抗菌活性?
答案:(A)
ㅤㅤ
ㅤㅤ
49. 下列何種抗生素可抑制細菌細胞壁的生合成?
(A) spectinomycin
(B) erythromycin
(C) vancomycin
(D) chloramphenicol
ㅤㅤ
-108年 - 108-1 專技高考_藥師(一):藥理學與藥物化學#74539答案:(C)
(A) spectinomycin:aminoglycosides - 結合30S subunit,抑制蛋白質合成
(B) erythromycin:macrolides - 結合50S subunit,抑制蛋白質合成
(C) vancomycin:glycopeptide - 抑制transglycosylase,抑制細胞壁合成
(D) chloramphenicol:結合50S subunit,抑制蛋白質合成
ㅤㅤ
ㅤㅤ
10. 有關孕婦避免使用抗生素之敘述,下列何者正確?
(A) Sulfonamides可能使glucose-6-phosphate dehydrogenase(G6PD)缺乏之新生兒發生溶血現象
(B) Tetracyclines可能造成胎兒第八對腦神經受損而影響聽力
(C) Chloramphenicol會抑制胎兒骨頭生長
(D) Aminoglycosides會造成灰嬰症候群(gray baby syndrome)
ㅤㅤ
-107年 - 107-2 專技高考_藥師(一):藥理學與藥物化學#70391答案:(A) Sulfonamides G6PD 缺乏之新生兒發生溶血現象
(B) Aminoglycosides 可能造成胎兒第八對腦神經受損而影響聽力
(C) Tetracyclines 與 Ca2+ 形成 calcium orthophosphate complex 抑制胎兒骨頭生長
(D) Chloramphenicol 會造成灰嬰症候群(gray baby syndrome)
ㅤㅤ
ㅤㅤ
10. 下列何種藥物主要經肝臟代謝?
(A) chloramphenicol
(B) cephalosporin
(C) penicillin
(D) vancomycin
ㅤㅤ
-104年 - 104-2 專技高考_藥師、藥師(一):藥理學與藥物化學#23933答案:(A)
ㅤㅤ
ㅤㅤ
5. 下列那一組抗生素併用可產生拮抗作用而降低抑菌效果?
(A) Clavulanate + Ticarcillin
(B) Piperacillin + Tobramycin
(C) Chloramphenicol + Piperacillin
(D) Cefazolin + Amikacin
ㅤㅤ
-104年 - 104-1 專技高考_藥師、藥師(一):藥理學與藥物化學#19185答案:(C) 拮抗作用:1殺菌+1抑菌
Chloramphenicol:抑制合成細胞壁所需的蛋白質
Penicillin:抑制細胞壁合成
二者並用 會使 Penicillin 效用減弱
ㅤㅤ
ㅤㅤ
2. 由於新生兒的代謝系統尚未成熟,故不可使用下列何種抗生素?
(A) Chloramphenicol
(B) Ciprofloxacin
(C) Fluconazole
(D) Gentamycin
ㅤㅤ
-99年 - 99-2 專技高考_藥師:藥理學與藥物化學#10002答案:(A)
Gray baby sydrome 灰嬰綜合徵(新生兒氯黴素中毒):,新生兒由於其肝腎功能發育不完全,葡萄糖轉移酶少,故對氯黴素解毒能力較低,因此易引起藥物在體內蓄積中毒。導致少食、呼吸抑制、心血管性虛脫、發紺
ㅤㅤ
ㅤㅤ
9. 下列何種抗生素長期使用最容易引起再生不能性貧血(aplastic anemia)?
(A) Chloramphenicol
(B) Amikacin
(C) Vancomycin
(D) Tetracycline
ㅤㅤ
-96年 - 96-1 專技高考_藥師:藥理學#10043答案:(A) Chloramphenicol 副作用:成人再生不能性貧血、灰嬰症候群 (gray baby syndrome)
ㅤㅤ
8
0
