8. 凸透鏡焦距10 cm,要產生20倍大小的倒立實像,則物距為
(A)
(B)
(C)
(D)
cm
答案:登入後查看
統計: A(145), B(127), C(148), D(758), E(0) #1916370
統計: A(145), B(127), C(148), D(758), E(0) #1916370
詳解 (共 3 筆)
#3129817
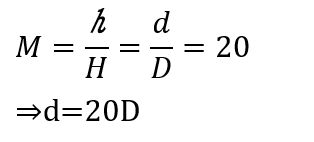
放大率M公式如下,其中 H 為物高,h 為像高,D 為物距,d 為像距

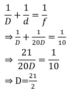
接著由薄透鏡公式

43
0
#4302894
凸透鏡物距在焦距內都會是放大虛像,所以ABC都不成立
13
0