9.有關毛細管電泳(CE)中待測物離子移動速度的敘述,下列何者正確?
(A)與所施電場強度成正比
(B)不受移動相黏度的影響
(C)不受離子電荷的影響
(D)與離子半徑成正比
答案:登入後查看
統計: A(7681), B(156), C(185), D(818), E(0) #1631419
統計: A(7681), B(156), C(185), D(818), E(0) #1631419
詳解 (共 9 筆)
#2375163
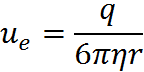
(A)與所施電場強度成正比
(B)和移動相黏度成反比
(C)離子電荷 移動速度:多價陽離子>單價陽離子>單價陰離子>多價陰離子
(D)與離子半徑成反比
256
2
#3173428

72
0
#2918703
補充
電滲透流EOF
正比:buffer pH、電場、溫度
反比:buffer濃度、緩衝離子強度
64
0
#4108907
請問最佳解說的「移動速度:多價陽離子>單價陽離子>單價陰離子>多價陰離子」,陰離子單價多價的部分也是用
解釋嗎?(多價陰離子比單價陰離子負?)
9
0
#4113440
請問多價陰離子半徑>單價陰離子半徑 單價陰離子比較小顆 受正極吸引力較大 那他應該速度比多價陰離子慢吧@@? 謝謝!
1
1