阿摩線上測驗 登入

試題詳解

試卷:114年 - 114 經濟部所屬事業機構_新進職員甄試試題_電機、儀電:1 .電路學 2 .電子學#136976 | 科目:國營事業◆1.電路學 2.電子學

試卷資訊

試卷名稱:114年 - 114 經濟部所屬事業機構_新進職員甄試試題_電機、儀電:1 .電路學 2 .電子學#136976

年份:114年

科目:國營事業◆1.電路學 2.電子學

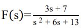
9. 假設一拉氏函數為,試求反拉氏轉換之 f(t) 值為何?
(A) e-3t(3 cos(2t) - sin(2t))
(B) e3t(3 cos(2t) - sin(2t) )
(C) e-3t(3 cos(4t) -sin(4t) )
(D) e-3t(3 cos(2t) + sin(2t) )

正確答案:登入後查看