9. 已知
?
(A) -12
(B) 12
(C) -60
(D) 60
答案:登入後查看
統計: A(103), B(203), C(2009), D(275), E(0) #1831990
統計: A(103), B(203), C(2009), D(275), E(0) #1831990
詳解 (共 10 筆)
#4636063

48
0
#3382547
樓樓上,算式應是12ad-6bd+12bc+6bd
然後跟上面說的一樣
-ad-bc=5
12ad+12bc=-60
21
1
#4915921
回樓上(10F)
這題是行列式喔!
可參考影片:https://www.youtube.com/watch?v=LuUILmkXpms
6
1
#3439803
4樓(6a-3b)2d-(6c-3d)(-2d)應改為(6a-3b)2d-(6c+3d)(-2d)
3
2
#5471820
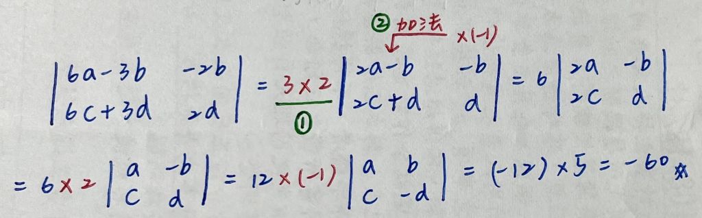
圖片說明:
① 倍數可提:任一行或任一列可提出同一個數。
即「6a-3b和6c+3d」這一行可提出「3」,「-2b和2d」這一行可提出「2」。
② 將一行或一列的K倍加到另一行或另一列,不影響原來的值。
即「-b和d」乘以(-1)後,將其值加到「2a-b和2c+d」這一行,即可消掉「-b和d」,
且等式是成立的。
須注意的地方:被乘數「-b和d」這一行是不變的,即下個等式的行列式中,
依然是「-b和d」。

1
0