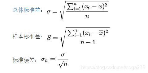
93.某大學調查顯示,該校大學生課後閱讀時間為常態分配,其平均數為 2 小時,標準差為 0.5 小時。隨機抽樣 25 人,在
所有可能的樣本平均數之中,有 95.46%的樣本平均閱讀時間為何?
(A)介於 3 小時與 1 小時之間
(B)介於 2.5 小時與 1.5 小時之間
(C)介於 2.2 小時與 1.8 小時之間
(D)介於 2.1 小時與 1.9 小時之間。
答案:登入後查看
統計: A(1063), B(783), C(1853), D(214), E(0) #2950179
統計: A(1063), B(783), C(1853), D(214), E(0) #2950179
詳解 (共 5 筆)
#6035306

2
1