阿摩線上測驗
登入
首頁
>
通訊概論
>
103年 - 103 一般警察特種考試_二等_刑事警察人員電子偵察組:通訊概論#43456
> 申論題
題組內容
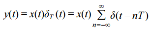
一、系統輸入信號 x(t),輸出信號 y(t)表為
(1) 試問系統是否為線性?是否為非時變(time-invariant)系統?(10 分)
相關申論題
(2)若 x(t) = sin(πt)/(πt),試求 x(t)及 y(t)的傅立葉轉換(Fourier transform)。(10 分)
#139782
(3)若系統之 T 可變動,且 x(t) = [sin(πt)/(πt)]2,試探討由 y(t)回復為原信號 x(t)之可能 性。(10 分)
#139783
(1) 在不影響接收信號之位元錯誤率下,如何使其輸出功率為最小並證明之。(8 分)
#139784
(2) 若|A2 − A1| = |B2 − B1| = d > 0,四個信號以葛雷碼(gray code)進行編碼,求其最 小位元錯誤率。(12 分)
#139785
三、電話公司使用濾波器限制電話信號頻寬為 4kHz,信號動態範圍為 72dB,信號傳送 至交換機後,直接數位化,請問每一線路最小位元速率為何?而現行標準之位元速 率為何?試問差異來源為何?(10 分)
#139786
五、日前某網路媒體報導:國家通訊傳播委員會將把國內 WiMAX 所使用的 2600MHz 頻段中的 190MHz 頻寬,作為未來第二波 4G 釋照,其中的 140MHz 劃分給 FDD- LTE 使用,50MHz 供 TDD-LTE 使用。請解釋文中 WiMAX、LTE、FDD 及 TDD 四個名詞之意涵。(10 分)
#139788
六、請比較 ALOHA 無線存取網路及衍生之時槽式 ALOHA 無線存取網路之產出量,並 說明差異原因。(10 分)
#139789
七、若無線通訊系統之位元速率為 200kbps,其通道之脈衝響應表為 h(t)=0.01δ(t−0.5μs)+ 0 .1 δ(t−1μs)+0 .0 01 δ(t−1 .5 μs)+δ(t−2μs),試問此無線通道是 否為頻率選擇 性 (frequency-selective)通道,接收端是否需要使用等化器(equalizer)?(10 分)
#139790
⑵何謂取樣定理( Sampling theorem)及倪奎斯取樣頻率(Nyquist sampling frequency)?試舉例及繪圖說明之。
#195632
⑴比較 PAM、PWM 及 PPM 三種脈波調變系統的特點?試繪圖說明之。
#195631
相關試卷
105年 - 105 一般警察特種考試_二等_刑事警察人員電子偵察組:通訊概論#53363
105年 · #53363
104年 - 104 一般警察特種考試_二等_刑事警察人員電子偵察組:通訊概論#43026
104年 · #43026
103年 - 103 一般警察特種考試_二等_刑事警察人員電子偵察組:通訊概論#43456
103年 · #43456
102年 - 102 一般警察特種考試_二等_刑事警察人員電子偵察組:通訊概論#44282
102年 · #44282
101年 - 101 一般警察特種考試_二等_刑事警察人員電子偵察組:通訊概論#44925
101年 · #44925
100年 - 100 一般警察特種考試_二等_刑事警察人員電子偵察組:通訊概論#45815
100年 · #45815