阿摩線上測驗
登入
首頁
>
控制系統
>
109年 - 109 高等考試_二級_電力工程:控制系統#91548
> 申論題
題組內容
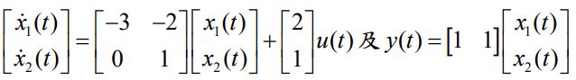
二、考慮系統
⑴求此系統之轉移函數(transfer function)。(10分)
相關申論題
⑴當輸入為一單位脈衝函數(unit impulse)時,求其系統響應的最終值為何?(5分)
#375120
⑵若加入單一負回饋(unity negative feedback)系統,其閉環路輸入為一 單一步階輸入(unit step input)時,求其系統響應的最終值為何?(5分)
#375121
⑵當此系統的輸入為 u(t) = 0 for t ≥ 0,初始條件為 x1(0)=1及 x2 (0)=2 。 求系統狀態 x1(t)及 x2(t)。(10分)
#375123
三、為單 一 負 回 饋 ( unity negative feedback)系統的開環路轉移函數(open loop transfer function)。若此一 閉環路系統為穩定且其單一步階輸入(unit step input)之穩定誤差 (steady-state error)必須小於或等於0.02,求α值的可能範圍。(請明確指 出如何滿足需求)(20分)
#375124
⑴請畫出以 K 為增益的系統根軌跡圖。(15分)
#375125
⑵若想使安頓時間(settling time)再縮短些,請問如何改變 PID 控制器? (10分)
#375126
⑴求此系統的型態(system type)。(5分)
#375127
⑵估測此系統的誤差常數(error constant)。(5分)
#375128
⑶求此系統的根軌跡圖(root locus)中,有幾條漸近線(asymptotes)? (5分)
#375129
⑷估測此系統的邊際角度(phase margin)及邊際增益(gain margin)。(10分)
#375130
相關試卷
114年 - 114 高等考試_二級_電力工程:控制系統#131606
114年 · #131606
113年 - 113 高等考試_二級_電力工程:控制系統#123078
113年 · #123078
112年 - 112 高等考試_二級_電力工程:控制系統#116766
112年 · #116766
111年 - 111 高等考試_二級_電力工程:控制系統#111038
111年 · #111038
110年 - 110 高等考試_二級_電力工程:控制系統#101931
110年 · #101931
109年 - 109 高等考試_二級_電力工程:控制系統#91548
109年 · #91548
108年 - 108 高等考試_二級_電力工程:控制系統#79579
108年 · #79579
107年 - 107 第十八屆TAIROA社團法人台灣智慧自動化與機器人協會_自動化工程師證照考試_Level 2/機器人中階:控制系統#72749
107年 · #72749
107年 - 107 高等考試_二級_電力工程:控制系統#72396
107年 · #72396
106年 - 106 高等考試_二級_電力工程:控制系統#65249
106年 · #65249