題組內容
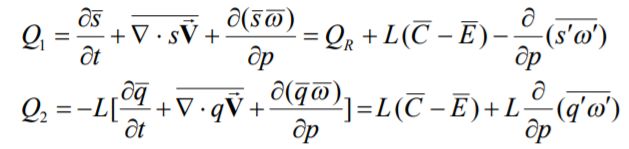
五、在研究熱帶海洋對流時,常使用視熱源(apparent heat source, Q1)與視 水氣匯(apparent moisture sink, Q2)兩個參數。此兩參數之方程如下:
其中,s 為乾靜能、q 為混合比、QR 為輻射加熱率、上方橫線表區域平 均值,一撇( )′則表各站之偏差(距平)值,其它符號之意義均依一般慣 例。試回答下列問題:(每小題 10 分,共 20 分)
五、在研究熱帶海洋對流時,常使用視熱源(apparent heat source, Q1)與視 水氣匯(apparent moisture sink, Q2)兩個參數。此兩參數之方程如下:
其中,s 為乾靜能、q 為混合比、QR 為輻射加熱率、上方橫線表區域平 均值,一撇( )′則表各站之偏差(距平)值,其它符號之意義均依一般慣 例。試回答下列問題:(每小題 10 分,共 20 分)