阿摩線上測驗
登入
首頁
>
天氣學
>
101年 - 101年高等三級暨普通考普通_氣象#26223
> 申論題
題組內容
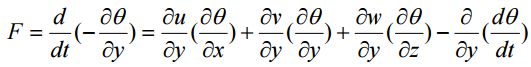
三、已知設鋒面之等位溫線均為直線且相互平行,y 軸指向冷區,則由運動學觀點, 三維運動所產生之一維鋒生函數(frontogenetical function, F)可以下式表為:
⑴試說明其中那一項表示水平風切變形之作用?又其如何造成鋒生?(10 分)
相關申論題
⑴試定義何謂乾絕熱率(dry adiabatic lapse rate)?又,何謂濕絕熱率(moist adiabatic lapse rate)?(10 分)
#41485
⑶試導出空氣塊的濕絕熱率為何(須說明所用變數)?(10 分)
#41487
⑴試說明熱力風與溫度分布之關係(包括量級大小)?(5 分)
#41488
⑵試應用熱力風之觀念,討論當低對流層之低壓具不同熱力結構(冷心或暖心)時, 其與環流垂直變化特徵之關係為何?(5 分)
#41489
⑶試應用熱力風之觀念繪圖簡要說明,當地轉風之風向隨高度逆轉(逆鐘向旋轉) 時,為何伴隨有冷平流?又,由圖中應該如何判別冷平流的強弱?(10 分)
#41490
⑵實際應用時,等位溫線未必平行於 x 軸或變形場之軸線。試繪圖表示純變形場之風 場分布特徵,並討論變形場中之等位溫線呈何種走向時,將有鋒生作用?(10 分)
#41492
⑴試繪俯視圖,以及通過其中心之垂直剖面圖,說明颱風(熱帶氣旋)之主要結構 (包括各組成部分之名稱、特徵、氣流、雲雨分布等)。(10 分)
#41493
⑵由熱帶擾動發展為颱風的過程中,藉由氣旋尺度與積雲尺度間之交互作用,可以 建立一「正回饋」過程以逐步增強渦旋,試簡要敘述此正回饋作用之內容為何? (10 分)
#41494
⑶試由地轉調整之觀點,討論颱風發展過程中的「隨機性」與「確定性」階段之意 義及兩者間的主要差異為何?(5 分)
#41495
五、試說明為何數值天氣預報有「預報極限」的存在?對綜觀尺度而言,此極限約為多 久?(10 分)
#41496
相關試卷
115年 - 115 身心障礙特種考試_四等_氣象:天氣學概要(包括基礎天氣分析與基礎大氣動力學)#138926
115年 · #138926
114年 - 114 公務升官等考試_薦任_氣象:天氣學(包括天氣分析與天氣預報)#133183
114年 · #133183
114年 - 114 高等考試_三級_氣象:天氣學(包括天氣分析與天氣預報)#128450
114年 · #128450
114年 - 114 普通考試_氣象:天氣學概要(包括基礎天氣分析與基礎大氣動力學)#128408
114年 · #128408
113年 - 113 台灣電力公司_大學及研究所獎學金甄選試題_綠能氣象與再生能源預測:天氣學與氣候學#129318
113年 · #129318
113年 - 113 普通考試_氣象:天氣學概要(包括基礎天氣分析與基礎大氣動力學)#121220
113年 · #121220
113年 - 113 高等考試_三級_氣象:天氣學(包括天氣分析與天氣預報)#121201
113年 · #121201
112年 - 112 公務升官等考試_薦任_氣象:天氣學(包括天氣分析與天氣預報)#117117
112年 · #117117
112年 - 112 高等考試_三級_氣象:天氣學(包括天氣分析與天氣預報)#115403
112年 · #115403
112年 - 112 普通考試_氣象:天氣學概要(包括基礎天氣分析與基礎大氣動力學)#115322
112年 · #115322