阿摩線上測驗
登入
首頁
>
物理化學(包括化工熱力學)
>
105年 - 105 關務特種考試_三等_化學工程:物理化學(包括化工熱力學)#50089
> 申論題
申論題
試卷:105年 - 105 關務特種考試_三等_化學工程:物理化學(包括化工熱力學)#50089
科目:物理化學(包括化工熱力學)
年份:105年
排序:0
申論題資訊
試卷:
105年 - 105 關務特種考試_三等_化學工程:物理化學(包括化工熱力學)#50089
科目:
物理化學(包括化工熱力學)
年份:
105年
排序:
0
題組內容
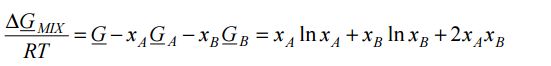
二、常溫常壓下,將 A、B 兩物質混合時之莫爾混合自由能變化為
申論題內容
⑴請推導 A、B 兩物質的活性係數與濃度之間的關係。(10 分)