阿摩線上測驗
登入
首頁
>
資料結構與程式語言
>
109年 - 109 桃園國際機場股份有限公司_新進從業人員招募甄選_行政管理-資訊-技術員:資料結構與程式語言#90611
> 申論題
題組內容
第一題: 請回答下列問題:
(一)請說明何謂穩定排序法(stable sorting)和不穩定排序法(unstable sorting)?並舉例 3 種 Unstable sorting。【7 分】
相關申論題
(二)假設一 Binary tree 其 Preorder(前序走訪)為 ABCDEFGHI,Inorder(中序走 訪)為 BCAEDGHFI 請畫出此 Binary tree。【9 分】
#371159
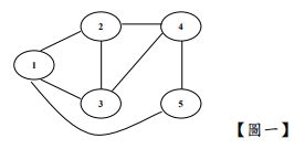
(三)請以 Adjacency multilist(相鄰多元串列)表示法來表示【圖一】之圖形。【9 分】
#371160
(一)請輸入 19, 68, 24, 6, 7, 72 到【圖二-左圖】之 AVL 樹並平衡之。【13 分】
#371161
(二)假設 a00是【圖二-右圖】下三角矩陣(Lower Triangular Matrix)之第一個位置。 請算出(1)以行為主(column-major);(2)以列為主(row-major)之 aij位置。【12 分】
#371162
第三題: 請以 C++或 Java 設計一完整程式符合下列要求,答案需標明使用哪一種語言。【25 分】 ● 提供使用者輸入一正整數之介面。範例:顯示"請輸入一正整數 N:" ● 根據使用者之輸入值N,程式運用迴圈巢狀結構,計算並輸出小於或等於N的所有質數。 範例:如果輸入值為 10,顯示"小於或等於 10 的質數:2, 3, 5,7" ● 若 k 為質數,則除了 1 與 k 外,k 無其他因數
#371163
第四題: 請以 C++或 Java 設計一完整程式符合下列要求,答案需標明使用哪一種語言。【25 分】 ● 程式分主程式與副程式兩部分,副程式名稱為 sortArray ● 主程式定義字串陣列 s1,儲存六個字串: "Ab", "Aa", "AA","AB", "Abc", "AbC" ● 主程式將陣列 s1 內容依序輸出時,顯示如下:(其中“排序前:”為外加訊息) 排序前:Ab, Aa, AA, AB, Abc, AbC, ● 主程式將陣列 s1 傳送給副程式 sortArray ● 副程式接收到的字串陣列後,調整陣列內的字串使依英文字母先後順序排列,排列原 則是以字母 ASCII 值為基礎,主要以每一字串之第一字母為主,第一子母相同的才比 較第二字母,第二子母相同時再比較第三字母,依此類推,依字母 ASCII 值由小到大 排列。 ● 副程式執行完後,主程式再將 s1 內容依序輸出,此時將顯示如下結果:(其中“排序 後:”為外加訊息) 排序後:AA, AB, Aa, Ab, AbC, Abc,
#371164
相關試卷
109年 - 109 桃園國際機場股份有限公司_新進從業人員招募甄選_行政管理-資訊-技術員:資料結構與程式語言#90611
109年 · #90611