阿摩線上測驗
登入
首頁
>
高考◆大氣動力學
>
102年 - 102年升官等、102年關務人員升官等、102年交通事業郵政、港務及公路人員升資考公務薦任_氣象#39967
> 申論題
申論題
試卷:102年 - 102年升官等、102年關務人員升官等、102年交通事業郵政、港務及公路人員升資考公務薦任_氣象#39967
科目:高考◆大氣動力學
年份:102年
排序:0
申論題資訊
試卷:
102年 - 102年升官等、102年關務人員升官等、102年交通事業郵政、港務及公路人員升資考公務薦任_氣象#39967
科目:
高考◆大氣動力學
年份:
102年
排序:
0
題組內容
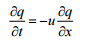
六、一維的物理量(q)平流方程式可表示為
其中 u 為東西向風速。氣象模式常使用尤拉(Eulerian)的二階蛙跳(leapfrog)有 限差分法(finite differences)來計算平流。
申論題內容
⑴討論此法的計算穩定度條件(stability criterion)(假設 u 為常數)。(10 分)