題組內容
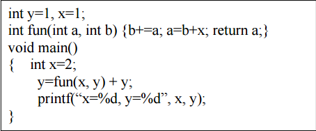
四、如果我們採取不同參數傳遞的方法,請回答下面程式執行的結果: (每小題 4 分,共 12 分)
⑴ pass-by-reference
詳解 (共 1 筆)
詳解
X=4
Y=7