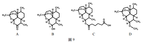
三、本題為化學在醫藥上偉大貢獻的實例。2015 年諾貝爾生醫獎頒給青蒿素的研究,因其 是現今抗瘧疾最佳的藥物。化學家自傳統的中藥材黃花蒿中提取出青蒿素,並以其為 起始物製成一系列衍生物,以獲得更高藥效。青蒿素的化學構造如圖 9 之 A 化合物, 其具有藥效的主因是含有一種罕見於天然物的官能基。將青蒿素 A 在特定的條件下進 行加氫還原,可得到二氫青蒿素 B。若將化合物 B 與試劑甲在適當條件下進行酯化反 應,可得到化合物 C。另一方面,若將化合物 B 與試劑乙在適當條件下進行反應,可 得到化合物 D。使用青蒿素及這些衍生物的聯合療法,就成為現今全世界治療惡性瘧 原蟲瘧疾的標準方法。

根據這些敘述,回答下列問題(每一子題 2 分,共 8 分):