阿摩線上測驗
登入
首頁
>
高中指考◆化學
> 105年 - 105 大學入學考試中心_指定科目考試:化學#53337
105年 - 105 大學入學考試中心_指定科目考試:化學#53337
科目:
高中指考◆化學 |
年份:
105年 |
選擇題數:
25 |
申論題數:
10
試卷資訊
所屬科目:
高中指考◆化學
選擇題 (25)
1. 由 X 與 Y 兩種元素組成的化合物,若化合物中 X 與 Y 的質量比是 3:1,而 X 與 Y 的相 對原子量比是 12:1,則下列何者是該化合物的化學式? (A) XY
4
(B) XY
3
(C) XY
2
(D) XY
2
(E) X
3
Y
2. 碘可以形成很多種氧化物,且可具有不同的氧化數。有一種很特殊的碘與氧的化合物稱 為碘酸碘。已知其中碘的氧化數分別為+3 與+5,則下列何者是碘酸碘的化學式? (A) I
2
O
6
(B) I
3
O
5
(C) I
3
O
6
(D) I
4
O
5
(E)I
4
O
9
3. 代號乙是什麼化合物? (A) CH
3
OH
3
(B) CH
3
CHO (C) CH
3
COOH (D) C
2
H
5
OC
2
H
5
(E) CH
3
COOC
2
H
5
4. 代號丁是什麼化合物? (A) CH
3
OH (B) CH
3
CHO (C) CH
3
COOH (D) C
2
H
5
OC
2
H
5
(E) CH
3
COOC
2
H
5
5. 過程①~⑤中,哪些屬於氧化反應? (A)①② (B)②③ (C)③⑤ (D)①②⑤ (E)②③⑤
6. 利用電子組態可以描述原子的特性。下列有關電子組態的敘述,何者正確? (甲)C原子的基態,其電子組態為 1s
2
2s
2
2p2 (乙)Ne原子的激發態,其電子組態不可能是 1s
2
2s
2
2p
5
3s
1
(丙)Mn原子的基態和 Mn
2+
離子的基態皆具有未成對電子 (A)只有甲 (B)只有乙 (C)乙與丙 (D)甲與丙 (E)甲與乙
7. 某純物質具有下列特性: (1)沸點在高壓環境下會比一大氣壓時的高 (2)三相點的溫度比正常熔點的溫度高 依據上述特性,下列何者為此物質的三相圖? (A)
(B)
(C)
(D)
(E)
8. 甲、乙、丙、丁、戊為五種有機化合物的代號。已知甲可作為抗凍劑,乙可進行酯化反 應,丙可還原生成二級醇,丁可做為麻醉劑,且其沸點高低的排列順序為甲>乙>丙> 丁>戊。若五種化合物依甲、乙、丙、丁、戊順序排列,則下列哪一排列正確? (A)乙醇、乙酸、乙烷、乙醚、丙酮 (B)乙烷、乙酸、乙醇、丙酮、乙醚 (C)乙酸、乙二醇、丙酮、乙烷、乙醚 (D)乙二醇、乙酸、丙酮、乙醚、乙烷 (E)乙二醇、乙酸、乙醚、丙酮、乙烷
9. 有一單質子弱酸(HX)的鈉鹽 NaX,已知 0.20 M 的 NaX 溶液之 pH 值為 10。現擬以 HX 和 NaX 混合配製 pH 值為 6.0 的緩衝溶液,則此緩衝溶液中[ X - ]/[HX]的比值最接 近下列哪一數字? (A) 0.20 (B) 0.50 (C) 1.0 (D) 2.0 (E) 5.0
10. 以二鉻酸鉀滴定未知濃度的亞鐵離子酸性水溶液時,常以二苯胺磺酸鈉作為指示劑。其 中,二苯胺磺酸根離子作為指示劑的變色原理如下式所示:
在此條件下,下列有關(甲)鉻離子、(乙)亞鐵離子與(丙)二苯胺磺酸根離子之間 還原力的比較,哪一項正確? (A)甲>乙>丙 (B)乙>丙>甲 (C)丙>甲>乙 (D)丙>乙>甲 (E)乙>甲>丙
11. 王同學在定溫下,進行氣體平衡反應的實驗,想利用實驗數據求得反應的平衡常數。 所使用的氣體為 NO
2
與 N
2
O
4
,其初始的濃度及經過一段時間後,到達平衡時的濃度如 表 1 所示。
試問下列哪一數字最接近
反應的平衡常數? (A)11.7 (B)7.56 (C)
(D)
(E)
12. 圖 2 為一級反應 A→B 的反應物濃度與時間的關係圖。圖 3 為反應速率與反應物濃度的 關係圖。
試問哪兩條關係線能正確描述此一級反應? (A)甲與己 (B)乙與庚 (C)丙與戊 (D)丙與己 (E)甲與庚
13. 圖 4 中甲、乙、丙三條曲線,為氣體分子的運動速率與相對分子數目的分布關係。若根 據圖 4,則下列敘述,哪一項正確? (A)若曲線代表三種不同氣體分子,在同溫下的 分子運動速率分布,則丙的平均動能最大 (B)若曲線代表三種不同氣體分子,在同溫下的 分子運動速率分布,則甲一定是雙原子分子 (C)若曲線代表三種不同氣體分子,在同溫下的 分子運動速率分布,則平均速率的大小依序 為甲>乙>丙 (D)若曲線代表氮氣在三種不同溫度的分子運 動速率分布,則甲的平均動能最高 (E)若曲線代表氮氣在三種不同溫度的分子運 動速率分布,則甲的溫度最低
14. 下列反應是製造氫氣的重要方法之一
當反應達平衡後,若改變此反應的條件,則下列有關反應平衡位置移動的敘述,哪一個 正確? (A)增加壓力,平衡向產物方向移動 (B)將溫度提高,平衡向反應物方向移動 (C)加入鈍氣,平衡向反應物方向移動 (D)增加 Ni 的量,平衡向反應物方向移動 (E)將 H
2
O(g) 完全移除,不會改變平衡位置
15. 下列有關三種化合物 CH
2
O 、C
2
H
4
O
2
(乙酸)和 C
6
H
12
O
6
(葡萄糖)的敘述,何者正確? (A)三者互為同分異構物 (B)三者含碳的質量百分率相同 (C)三者皆可與鋅粉反應,產生氫氣 (D)三者皆可與斐林試劑反應,產生紅色沉澱 (E)三者與硝酸銀的氨水溶液反應,均產生銀鏡反應
16. 下列哪一個分子具 sp
3
混成軌域,且其鍵角最小? (A) BeCl
2
(B) BCl
3
(C) CH
4
(D) H
2
O (E) NH
3
17. 工業上利用電解氧化鋁的方式來製備鋁金屬,若要生產 54 克的鋁金屬約需要多少庫侖 的電量? (A)
(B)
(C)
(D)
(E)
18. 假設原子序 119 的新元素 Q 為一穩定元素,則根據化學元素的週期性,可預測 Q 的性 質。下列有關 Q 的敘述,哪一項正確?(提示:氙與氡的原子序分別為 54 與 86,氙、 氡與氪 同族) (A)Q為非金屬元素 (B)Q與水反應形成QOH (C)Q與水反應產生氧氣 (D)Q所形成的碳酸鹽,其化學式為 QCO
3
(E)Q形成 Q
-
陰離子的電子組態與惰性元素相同
19. 將固態碳與氣態二氧化碳在 1.0 升的密閉容器中加熱至 1160K,可形成一氧化碳。在反 應過程中每兩小時測量系統總壓力,如圖 5。反應式如下:
當反應達成平衡時,仍有固態碳殘留於容器中。 假設 CO
2
及CO均為理想氣體,根據上述資料,則下列敘述何者正確? (A)反應達成平衡時, CO
2
與CO的莫耳數 比為 1: 2 (B)反應達成平衡時, CO
2
與CO的總莫耳 數為0.053莫耳 (C)反應達成平衡時,CO的分壓為3.37 atm (D)此反應的平衡常數 Kp 約為27.9 (E)若在相同容器中,改注入各0.0263莫耳 的 CO
2
及CO的氣體,當反應達成平衡 時, CO
2
氣體的莫耳數將增加
20. 下列哪一個現象或事實與分子間作用力的大小無關? (A)水滴在玻片上呈現半球形 (B) Br2 與 ICl 兩者分子量相近,但 ICl 沸點較高 (C)銀飾在空氣中會慢慢失去光澤 (D)碘的沸點高於氯的沸點 (E)正戊烷的沸點比新戊烷高
複選題
21. 下列哪些選項中的兩組操作,產生相同的氣體? (A)消毒傷口塗上雙氧水;加熱氯酸鉀與二氧化錳 (B)檸檬汁加小蘇打;鹽酸滴入大理石 (C)浴廁清潔劑(鹽酸)加漂白水;金屬鈉加水 (D)鹽酸滴入鋅粉;電解濃食鹽水陽極產生的氣體 (E)汽水加食鹽;水滴入電石
複選題
22. 在高中化學實驗室,進行滴定或合成等實驗時,下列哪些是安全且正確的實驗操作? (A)進行滴定前,先用去離子水清洗滴定管後,即可將待滴定物倒入管內開始滴定 (B)在玻璃管上套橡皮管時,可先用水濕潤玻璃管 (C)氫氧化鈉溶液配製後,可將其置於玻璃瓶中長期存放 (D)高溫的反應產物,應等其冷卻後,再測量產物質量 (E)具高揮發性的溶液加熱時,使用水浴法以避免直接加熱造成危險
複選題
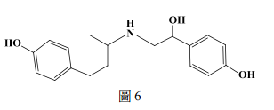
23. 將瘦肉精添加於豬隻等動物飼料中,可以促進蛋白質合成,增加動物的瘦肉量,少長脂 肪。瘦肉精之一的萊克多巴胺的結構式,如圖 6,分子量為 301g mol
-1
,對於水的溶解度 為 4100mgL
-1
。萊克多巴胺原先是研發作為 氣喘用藥,但未通過美國食品藥物管理局 (FDA)的人體實驗。但允許在飼料中添加, 瘦肉精的安全殘留量,則常參考 FDA 標準。 下列與瘦肉精相關的敘述,哪些正確? (A)萊克多巴胺的分子式為 C
18
H
22
NO
3
(B)萊克多巴胺的結構具有酚基與胺基 (C)萊克多巴胺在美國可以少量用於治療氣喘病 (D)萊克多巴胺對於水的溶解度,比食鹽易溶約10倍 (E)添加18.5克的萊克多巴胺於每噸飼料中,其量等於18.5ppm
複選題
24. 在某實驗中,先於燒杯內倒入 4 毫升的 0.1M
溶液後,緩緩加入 16 毫升 的 0.05 M 的乙二胺(en)水溶液。假設完全反應後, [Ni(H
2
O)
6
]
2+
與乙二胺皆無剩餘, 則產生化合物甲與水。下列有關化合物甲與相關的敘述,哪些正確?(已知乙二胺為雙 牙基) (A)含有一個en配位基 (B)含有兩個 HO
2
配位基 (C)鎳的氧化數為+2 (D)鎳離子的配位數為4 (E)反應物 [Ni(H2 O)6 ]
2+
具有顏色
複選題
25. 在氧化還原滴定實驗中,先用草酸鈉標定過錳酸鉀溶液的濃度,再以標定後的過錳酸鉀 溶液測定未知試樣中亞鐵離子的含量。下列有關該實驗的敘述,哪些正確? (A)須精稱乾燥草酸鈉的質量,以得知其準確的莫耳數 (B)標定後的過錳酸鉀溶液,必須儲存於褐色瓶中,且避免光照 (C)標定過程中,過錳酸鉀為還原劑,草酸鈉為氧化劑 (D)在標定過錳酸鉀溶液時,標定一次即可精確求得其濃度,無須進行多次再求平均的 方式 (E)以標定後的過錳酸鉀溶液滴定待測樣品中的亞鐵離子,至溶液淡紫色不消失,即為 滴定終點
申論題 (10)
1. 寫出 X 的元素符號。
2. 寫出 Y 的中文名稱。
3. 寫出連線 3 反應的離子反應式,並註明各物質的狀態。
4. 寫出連線 6 反應的離子反應式,並註明各物質的狀態。
1. 寫出實驗(1)還原反應的還原劑。(2 分)
2. 寫出實驗(2),當搖動燒瓶,使無色亞甲藍氧化為藍色亞甲藍反應的氧化劑。(2 分)
1. 畫出青蒿素構造中的一個罕見於天然物,且較不穩定的化學鍵。
2. 寫出由青蒿素 A 製備二氫青蒿素 B,青蒿素 A 中被還原的官能基名稱。
3. 寫出由化合物 B 製備得到化合物 C,所加入試劑甲的化學名稱。
4. 化合物 D 的分子中,具有多少個三級碳。
相關試卷
114年 - 114 財團法人大學入學考試中心基金會_分科測驗:化學考科#128814
114年 · #128814
113年 - 113 大學入學考試中心_分科測驗:化學#123138
113年 · #123138
112年 - 112 大學入學考試中心_分科測驗:化學#119237
112年 · #119237
111年 - 111大學入學考試中心_分科測驗:化學考科#109043
111年 · #109043
110年 - 110 國立嘉義高級中學科學班甄選入學科學能力檢定-化學科#106457
110年 · #106457
110年 - 高中指考-化學#100519
110年 · #100519
110年 - 110年 大學入學考試中心_指定科目考試:化學#99977
110年 · #99977
109年 - 109(補考) 大學入學考試中心_指定科目考試:化學#89683
109年 · #89683
109年 - 109 大學入學考試中心_指定科目考試:化學#87863
109年 · #87863
108年 - 108 大學入學考試中心_指定科目考試:化學#81092
108年 · #81092