阿摩線上測驗
登入
首頁
>
教甄◆數學
>
115年 - 115-2 台北市立建國高級中學_正式教師甄選試題:數學科#138704
> 申論題
題組內容
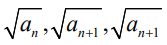
1.對於所有的正整數n,數列⟨a
n
⟩滿足「
是面積為
的等腰三角形三邊長」。請回答下列各小題。
(1) 證明:數列⟨a
n
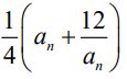
⟩滿足遞迴關係式 a
n+1
=
,∀n∈ℕ。
相關申論題
(2)設a₁=100,則數列⟨an⟩是否收斂?請證明之。
#568484
2.若兩實數α與β滿足方程組 ,求α+β的值,並證明之。
#568485
1. 下圖為 1 m、2 m 葡萄糖水及純水的三相圖(已知水的 Kb=0.52,Kf =1.86),試依附圖求出的蒸氣壓變化量 ?_______
#568486
2. 已知 2A(g)+B(g) → 2C(g)+熱,以 mmHg 為氣體分壓的單位,且 A、B 初期的壓力用 PA0、PB0 代表。實驗得到速率 如附表。試問:如實驗第一組取量,但將容器體積縮減為原先的一半,則 B 的消耗速率應為____________mmHg/s。
#568487
3. 定溫時 2A2(g)+B2(g)⇌ 2A2B(g)的 Kc= 4✖1020,最初 5 升密閉容器中放入 3.1 mol 的 A2 和 1.5 mol 的 B2,則平衡時 [B2]=?M。_________
#568488
4. 碘分子(或三碘離子)為一氧化劑,因其與澱粉會產生藍色錯合物而產生顏色變化,故常被用來進行氧化還原滴定實 驗。而碘液通常是以碘酸鉀和碘化鉀於酸性環境下反應進行配製,並進一步用來測定未知還原劑的濃度。今欲測量市售 維生素 C 的含量而進行以下實驗:(式量:KIO3 = 214、維生素 C = 176) 步驟一:取 0.214 克碘酸鉀溶於 100 毫升蒸餾水與等體積的碘化鉀溶液於酸性環境下反應,見溶液呈現黃棕色。 步驟二:另將一錐形瓶,加入磨碎後的 0.20 克維生素 C 錠並溶於 10 毫升蒸餾水,再加入澱粉試劑。 步驟三:以碘液滴定維生素 C 溶液,當藍色不褪去時,共用去碘液 20.00 毫升。 試問維生素 C 的重量百分率濃度為多少%?
#568489
5. 已知 AgIO3(s)的 Ksp=10-8、Ag2CrO4(s)的 Ksp=4 × 10-12。某 100 L 水溶液中有 10-2 M IO3 -和 10-2 M CrO42-,逐 滴加入 0.1 M AgNO3(aq),忽略溶液體積的些微變化,則當溶液中較慢被沉澱的陰離子有 75%與 AgNO3 產生沉澱時, 最先被沉澱的陰離子剩下多少%在溶液中?_____________
#568490
6. 有一硫酸鈉水溶液重 571 克,測其凝固點為-5.58℃,若通 5.0 法拉第的電量電解,設電流效率為 100%,且電解中水不 蒸發,則電解後溶液的凝固點為何?_________(不考慮硫酸鈉的水解應;Na=23、S=32,水之 Kf=1.86 ℃/m)
#568491
7. 聚氯乙烯(PVC)是一種用途非常廣泛的塑膠,焚化含有 PVC 的垃圾,會產生致癌的空氣汙染物戴奧辛。焚化含 125 公斤聚氯乙烯的廢棄物,假設該廢棄物沒有其他含氯化合物,且所含有的氯完全轉化為氯化氫,試計算在 25℃、1 atm 下, 產生的氯化氫體積為若干升?__________ (原子量:H=1.0、C=12.0、Cl=35.5)
#568492
8. 在 27°C 時,將 0.1 莫耳某液態純物質置於一可變容積的真空容器中,該物質在 27°C 時的飽和蒸氣壓為 76 mmHg,液 態的體積可忽略,現將該容器體積由 1 公升逐漸膨脹到 50 公升(溫度不變)。請畫出此段變化過程中壓力和體積間的關係圖。?___________ (請標示出完全汽化時的體積)
#568493
相關試卷
115年 - 115 -1 國立南科國際實驗高級中學_教師甄選試題:高中數學科#140146
115年 · #140146
115年 - 115 高雄市立高雄高級中學_正式教師甄選試題︰數學科#140111
115年 · #140111
115年 - 115 臺北市公立國民小學教師聯合甄選初試基礎類科知能試題:數學#139894
115年 · #139894
115年 - 115 教育部受託辦理公立高級中等學校教師甄選試題:數學科#139603
115年 · #139603
115年 - 115-1 國立彰化高級中學_教師甄選試題:數學科#139364
115年 · #139364
115年 - 115 臺北市立南港高級中學_正式教師甄選_高中數學科#139341
115年 · #139341
115年 - 115-1 新北市立板橋高級中學_正式教師甄選試題:數學科#139339
115年 · #139339
115年 - 115-1 臺北市立南湖高級中學_正式教師甄選試題:數學科#139253
115年 · #139253
115年 - 115 國立屏東大學_各師資類科教育學程甄選試題:數學#139246
115年 · #139246
115年 - 115 臺北市立陽明高級中學正式教師甄選試題:高中數學科#139228
115年 · #139228