題組內容
三、萘分子(
)具有單鍵—雙鍵交替的共軛體系,可視為長方形平面分子,邊長分別為
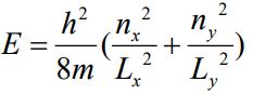
,π電子在二維空間的能階:

nx 和 ny 分別為量子數,m 為電子質量(
kg) ,h =
。 萘的π電子可填入不同(
)量子數的軌域。
(一)寫出三個最低能階的(
)量子數,依能階由高至低排序。(5分)
三、萘分子(
)具有單鍵—雙鍵交替的共軛體系,可視為長方形平面分子,邊長分別為
,π電子在二維空間的能階:

nx 和 ny 分別為量子數,m 為電子質量(
kg) ,h =
。 萘的π電子可填入不同(
)量子數的軌域。
(一)寫出三個最低能階的(
)量子數,依能階由高至低排序。(5分)