阿摩線上測驗
登入
首頁
>
高等流體力學
>
113年 - 113 高等考試_二級_水利工程:高等流體力學#123060
> 申論題
題組內容
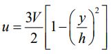
一、上下兩層不動之平行板,中間有一流動流體(如圖 A 所示) ,其中水流之速度為
,式中平均流速 V = 0.6 m/s,h = 5 mm,上下平板之剪應力為 720 N/m
2
,
(一)請問流體之黏滯係數為何?
相關申論題
(二)何處之剪應力最低?其值為何?(20 分)
#523536
(一) 此間距之損失水頭(head loss)及水流方向;
#523537
(二)假設損失水頭(head loss) 大小不變,水流反向,請問壓力水頭的變化。(20 分)
#523538
(一)求離開水箱的水流速度 V1 以及離開手推車的流速 V2?
#523539
(二)繩索(rope)A 所受的力?
#523540
(三)繩索 B 所受的力?(20 分)
#523541
四、混凝土壩之比重為 23.6 kN/m3,坐落於堅固基盤上,如圖 D 所示,當壩後水位為 4 m 時,請問該壩抵抗滑動之最小摩擦係數為何?(20 分)
#523542
五、濱海地區為進行防風定砂工程,設置高 h 寬 b 的防風牆一座,如圖 E 所示,假設牆中心點之壓力 p 與牆面大小、風速 V 及空氣粘滯度(dynamic viscosity, μ)相關,請以因次分析(dimensional analysis)建構無因次項; 又當風速增加一倍時,壓力增加多少?(20 分)
#523543
(二)若原型尺度之 D = 0.2 m 、 H = 0.6 m 及流速 V = 5 m/s ,模型實驗採和 原型相同之流體,模型尺度之 D = 5 cm,則模型的流速應為多少? 如果在模型測得的渦漩分離頻率為48 Hz,則原型的渦漩分離頻率為多少 Hz?(10 分)
#554313
(一)請利用「Buckingham π 定理」推導渦漩分離頻率 ω 與相關參數之無因次關係式。 (10 分)
#554312
相關試卷
114年 - 114 高等考試_二級_水利工程:高等流體力學#131611
114年 · #131611
113年 - 113 高等考試_二級_水利工程:高等流體力學#123060
113年 · #123060
108年 - 108 公務人員升官等公務簡任_水利工程:高等流體力學研究#80527
108年 · #80527
107年 - 107 高考二級 高等流體力學#72460
107年 · #72460
106年 - 106 公務升官等考試_簡任_水利工程:高等流體力學研究#66338
106年 · #66338
106年 - 106 高等考試_二級_水利工程:高等流體力學#65183
106年 · #65183
104年 - 104 公務升官等考試_簡任_水利工程:高等流體力學研究#29757
104年 · #29757
102年 - 102 高等考試_二級_水利工程:高等流體力學#32528
102年 · #32528
102年 - 102 公務升官等考試_簡任_水利工程:高等流體力學研究 #32527
102年 · #32527
100年 - 100 公務升官等考試_簡任_水利工程:高等流體力學研究 #32661
100年 · #32661