阿摩線上測驗 登入

申論題資訊

試卷:97年 - 97 經濟部所屬事業機構_新進職員甄試試題_航空氣動:流體力學、氣動力學#137021
科目:國營事業◆1.流體力學 2.氣動力學
年份:97年
排序:0

題組內容

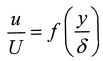
四、已知一個二維平板之層流邊界層 (laminar boundary layer) 之速度分佈為

其中 δ 代表邊界層厚度,U 代表邊界層外自由流速度,且 。 請依序回答下列問題:

 

申論題內容

(一) 請分別求出 a, b, c 之值。並求出函數