三、統計圖與統計分析表相互配合解讀。
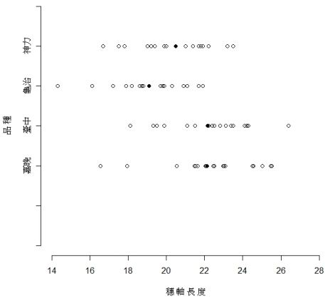
臺灣某試驗機構種植了近百年前的古早稻種:嘉義晚 2 號、龜治、 神力與臺中 65 號。研究人員在考種(種子檢驗)時記錄了各個品種穗軸 的長度(panicle length) ,並做了統計分析,分別以統計圖以及變方分析表 呈現。
統計圖。對於前述四個品種,每一個品種各觀察了 20 支稻穗,其穗 軸長度以空心圓的點「 ○ 」描述,並依照其數值大小從左至右排列在一直線上,四個品種分別呈現在四條直線上。圖中另有四個實心圓點「●」 , 分別代表四個品種穗軸長度的四個均數。 請檢視此統計圖並回答下列問題:
